🇳🇴 🇬🇧 🇩🇪 🇨🇿 🇫🇮

Meteor, poloha: Straume 2019-03-03 03:29:11 UTC

Soubor KML  |  InteraktivnĂ­ mapa

Mapa zobrazuje dráhy meteoru. Světlejší čáry ukazují směry od pozorovacích stanic při objevení se meteoru a tmavší čáry, kde byl naposledy viděn. Modrá šipka značí viditelnou dráhu meteoru.

static map
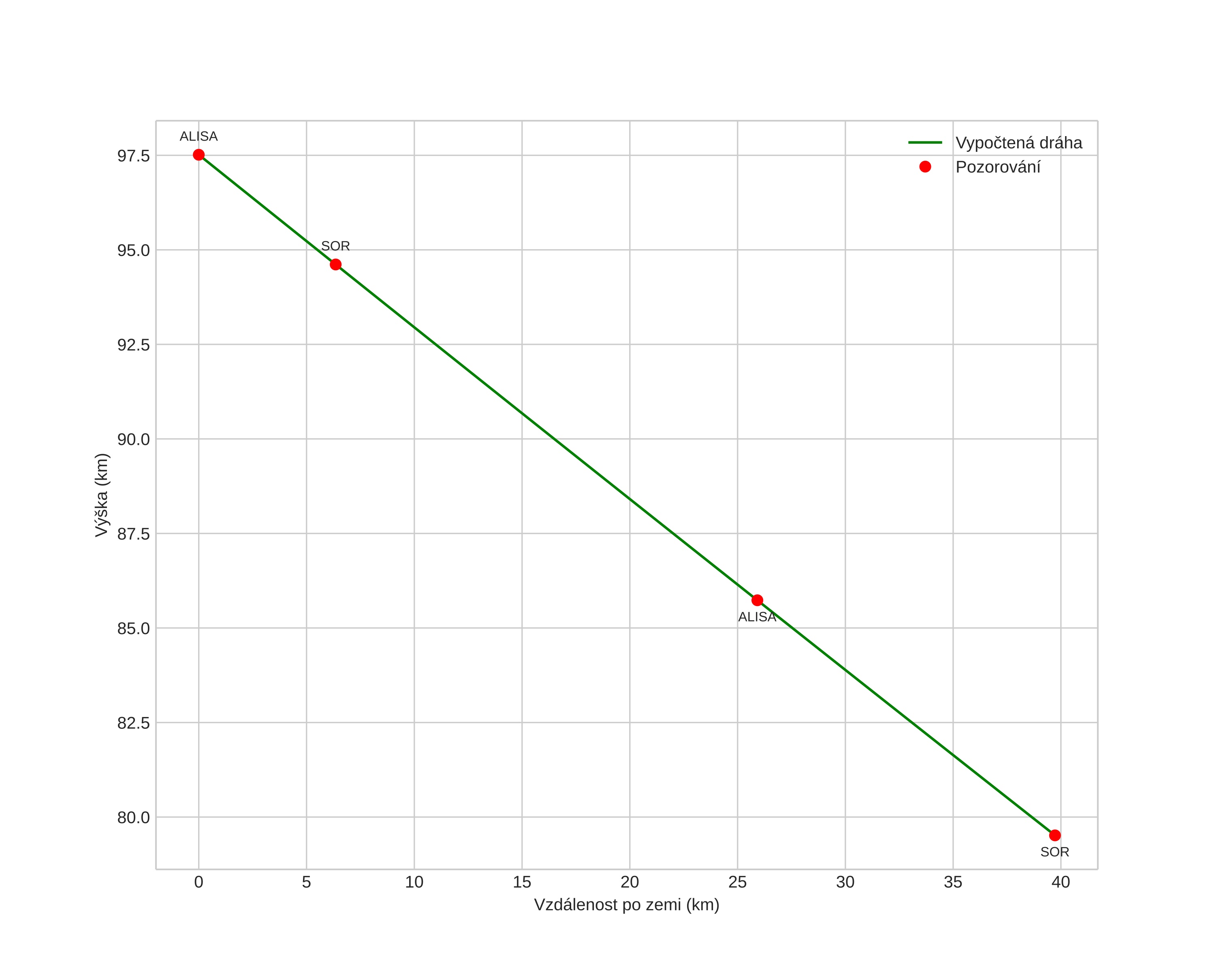
height profile
Atmosférická dráha meteoru:
Počáteční výška: 94,3 km
Konečná výška: 78,3 km
Počáteční poloha: 68,940N 14,318E
Konečná poloha: 69,307N 14,037E
Směr: 344,9°
Sklon: 20,7°
VstupnĂ­ rychlost: 61,0 km/s
Rektascenze radiantu: 16:03 (240,9°)
Deklinace radiantu: -0,3°
MeteorickĂ˝ roj: sporadickĂ˝
Elementy dráhy meteoroidu:
Vzdálenost v periheliu: 0,781 AU
Excentricita: 0,474
Sklon dráhy: 140,3°
Délka vzestupného uzlu: 342,0°
Argument perihelia: 250,1°
Střední anomálie: 333,9°
Epocha: 2019 MAR 03 03:29:11
orbit plot

NeinteraktivnĂ­ graf | InteraktivnĂ­ graf

position vs time
speed and acceleration