🇳🇴 🇬🇧 🇩🇪 🇨🇿 🇫🇮

Meteor Straumen yllä 2019-03-03 03:29:11 UTC

KML-tiedosto  |  Interaktiivinen kartta

Kartta näyttää meteorin suuntahavainnot. Vaaleammat viivat näyttävät suunnat havaintoasemilta meteorin ilmestyessä, ja tummemmat viivat näyttävät, missä se viimeksi nähtiin. Sininen nuoli näyttää meteorin näkyvän lennon.

static map
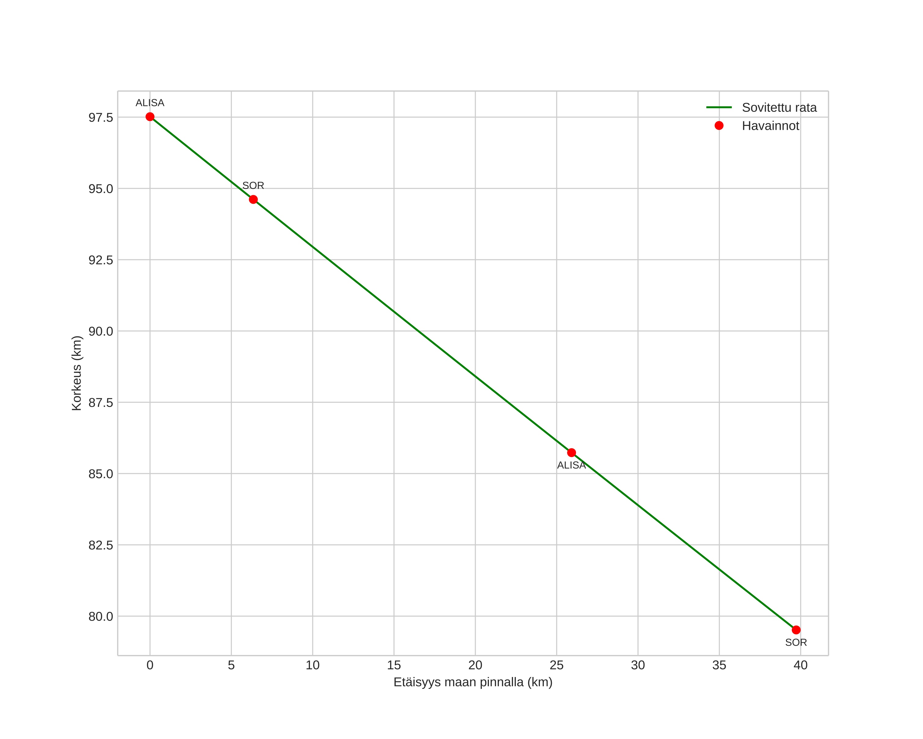
height profile
Meteorin ilmakehärata:
Alkukorkeus: 94,3 km
Loppukorkeus: 78,3 km
Alkupiste: 68,940N 14,318E
Loppupiste: 69,307N 14,037E
Suunta: 344,9°
Kallistuskulma: 20,7°
Tulonopeus: 61,0 km/s
Radiantin R,A,: 16:03 (240,9°)
Radiantin Dekl,: -0,3°
Meteoriparvi: Sporadinen
Meteoroidin rataelementit:
Perihelietäisyys: 0,781 AU
Eksentrisyys: 0,474
Inklinaatio: 140,3°
Nousevan solmun pituus: 342,0°
Perihelin argumentti: 250,1°
Keskianomalia: 333,9°
Epookki: 2019 MAR 03 03:29:11
orbit plot

Ei-interaktiivinen kuvaaja | Interaktiivinen kuvaaja

position vs time
speed and acceleration