🇳🇴 🇬🇧 🇩🇪 🇨🇿 🇫🇮

Meteor, poloha: Kiruna 2019-03-03 17:46:14 UTC

Soubor KML  |  InteraktivnĂ­ mapa

Mapa zobrazuje dráhy meteoru. Světlejší čáry ukazují směry od pozorovacích stanic při objevení se meteoru a tmavší čáry, kde byl naposledy viděn. Modrá šipka značí viditelnou dráhu meteoru.

static map
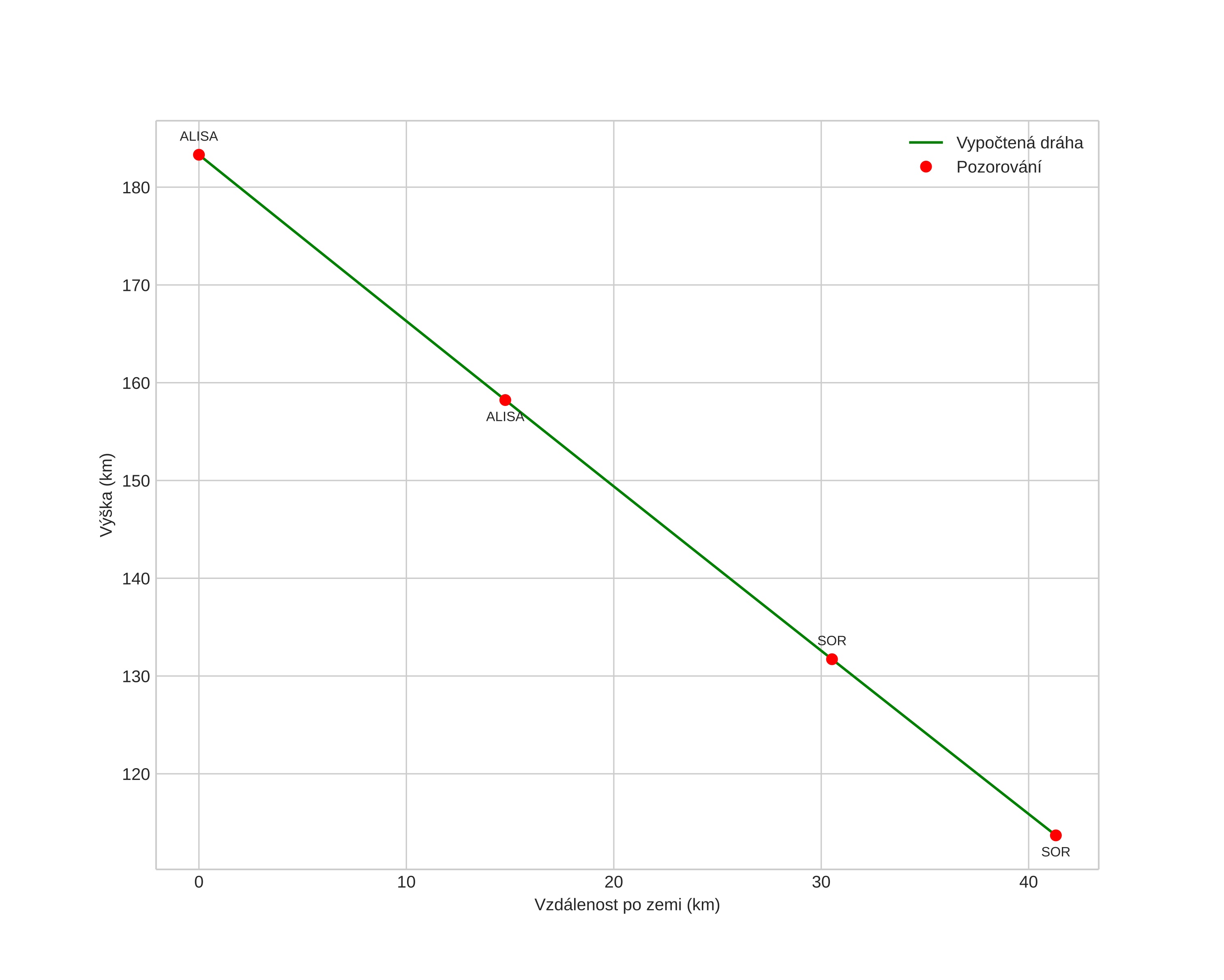
height profile
Atmosférická dráha meteoru:
Počáteční výška: 175,2 km
Konečná výška: 114,6 km
Počáteční poloha: 68,009N 19,634E
Konečná poloha: 67,661N 19,818E
Směr: 168,6°
Sklon: 56,9°
VstupnĂ­ rychlost: 36,9 km/s
Rektascenze radiantu: 19:52 (298,1°)
Deklinace radiantu: 76,9°
MeteorickĂ˝ roj: sporadickĂ˝
Elementy dráhy meteoroidu:
Vzdálenost v periheliu: 0,990 AU
Excentricita: 1,931
Sklon dráhy: 42,0°
Délka vzestupného uzlu: 342,6°
Argument perihelia: 176,8°
Střední anomálie: 1,7°
Epocha: 2019 MAR 03 17:46:14
orbit plot

NeinteraktivnĂ­ graf | InteraktivnĂ­ graf

position vs time
speed and acceleration