🇳🇴 🇬🇧 🇩🇪 🇨🇿 🇫🇮

Meteor Kirunan yllä 2019-03-03 17:46:14 UTC

KML-tiedosto  |  Interaktiivinen kartta

Kartta näyttää meteorin suuntahavainnot. Vaaleammat viivat näyttävät suunnat havaintoasemilta meteorin ilmestyessä, ja tummemmat viivat näyttävät, missä se viimeksi nähtiin. Sininen nuoli näyttää meteorin näkyvän lennon.

static map
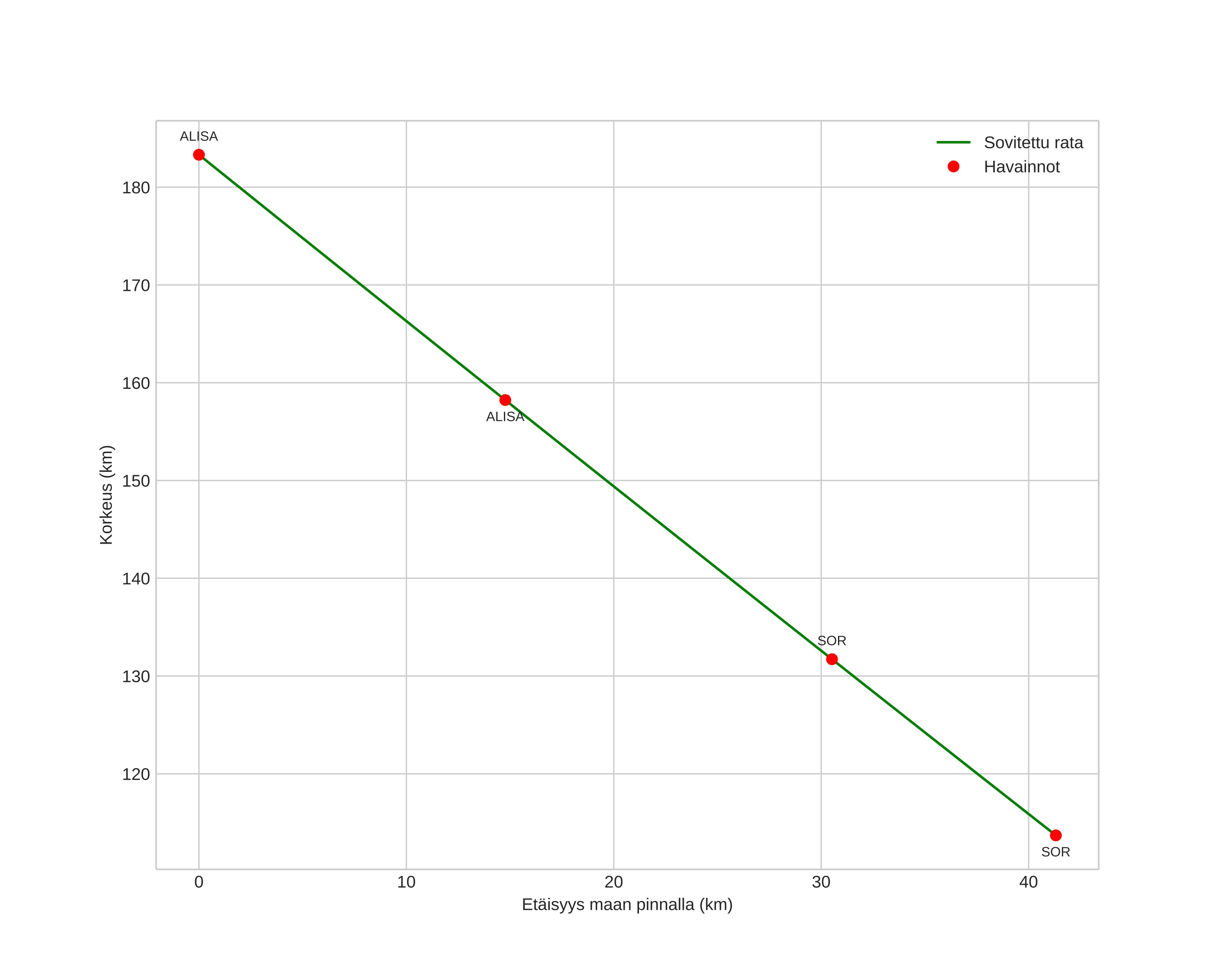
height profile
Meteorin ilmakehärata:
Alkukorkeus: 175,2 km
Loppukorkeus: 114,6 km
Alkupiste: 68,009N 19,634E
Loppupiste: 67,661N 19,818E
Suunta: 168,6°
Kallistuskulma: 56,9°
Tulonopeus: 36,9 km/s
Radiantin R,A,: 19:52 (298,1°)
Radiantin Dekl,: 76,9°
Meteoriparvi: Sporadinen
Meteoroidin rataelementit:
Perihelietäisyys: 0,990 AU
Eksentrisyys: 1,931
Inklinaatio: 42,0°
Nousevan solmun pituus: 342,6°
Perihelin argumentti: 176,8°
Keskianomalia: 1,7°
Epookki: 2019 MAR 03 17:46:14
orbit plot

Ei-interaktiivinen kuvaaja | Interaktiivinen kuvaaja

position vs time
speed and acceleration