🇳🇴 🇬🇧 🇩🇪 🇨🇿 🇫🇮

Meteor, poloha: Fjellfoten 2019-03-10 22:44:24 UTC

Soubor KML  |  InteraktivnĂ­ mapa

Mapa zobrazuje dráhy meteoru. Světlejší čáry ukazují směry od pozorovacích stanic při objevení se meteoru a tmavší čáry, kde byl naposledy viděn. Modrá šipka značí viditelnou dráhu meteoru.

static map
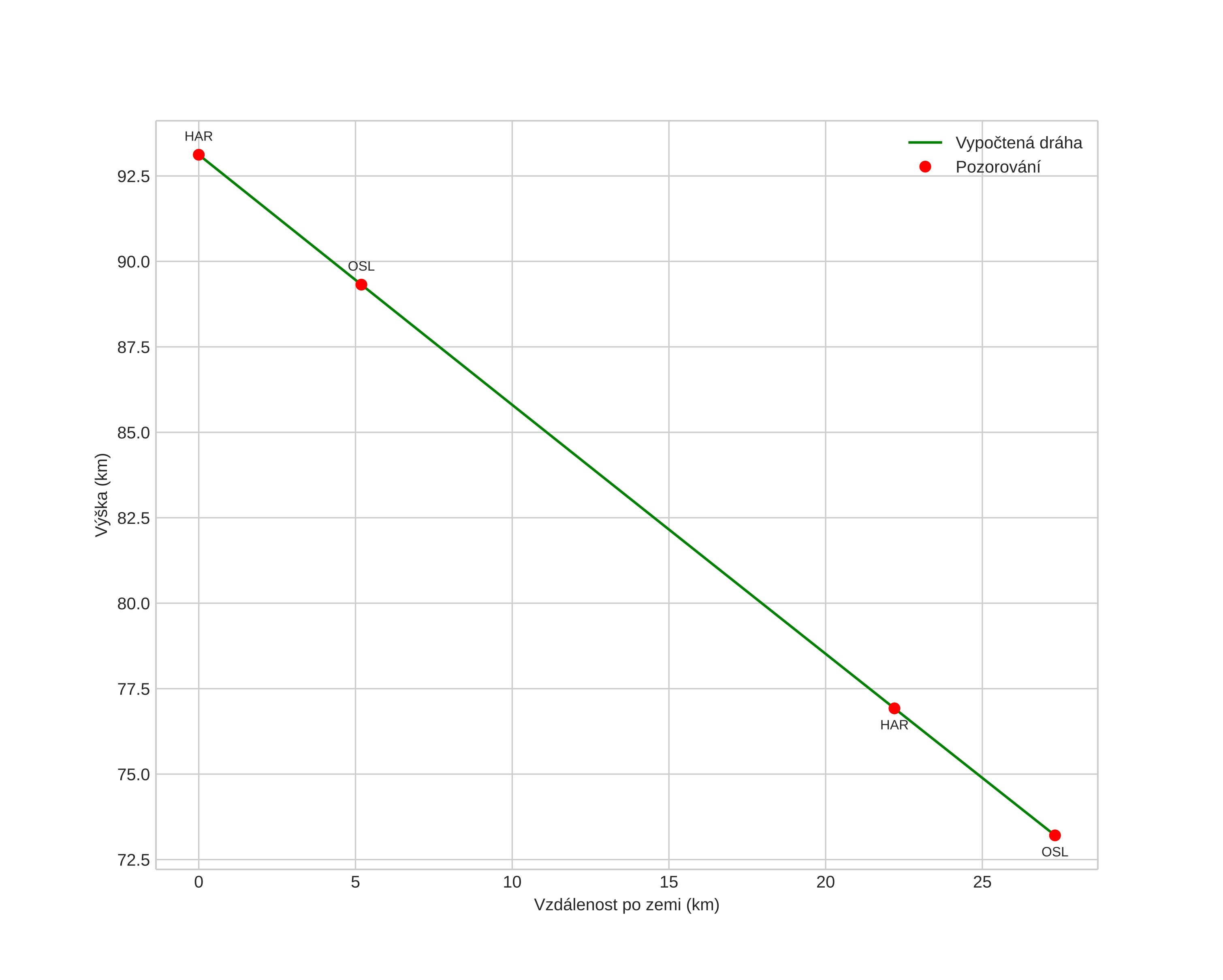
height profile
Atmosférická dráha meteoru:
Počáteční výška: 80,7 km
Konečná výška: 65,5 km
Počáteční poloha: 59,894N 11,694E
Konečná poloha: 60,075N 11,629E
Směr: 349,8°
Sklon: 36,5°
VstupnĂ­ rychlost: 22,6 km/s
Rektascenze radiantu: 11:14 (168,7°)
Deklinace radiantu: 2,8°
MeteorickĂ˝ roj: sporadickĂ˝
Elementy dráhy meteoroidu:
Vzdálenost v periheliu: 0,623 AU
Excentricita: 0,654
Sklon dráhy: 1,2°
Délka vzestupného uzlu: 169,8°
Argument perihelia: 86,8°
Střední anomálie: 340,5°
Epocha: 2019 MAR 10 22:44:24
orbit plot

NeinteraktivnĂ­ graf | InteraktivnĂ­ graf

position vs time
speed and acceleration