🇳🇴 🇬🇧 🇩🇪 🇨🇿 🇫🇮

Meteor Fjellfotenin yllä 2019-03-10 22:44:24 UTC

KML-tiedosto  |  Interaktiivinen kartta

Kartta näyttää meteorin suuntahavainnot. Vaaleammat viivat näyttävät suunnat havaintoasemilta meteorin ilmestyessä, ja tummemmat viivat näyttävät, missä se viimeksi nähtiin. Sininen nuoli näyttää meteorin näkyvän lennon.

static map
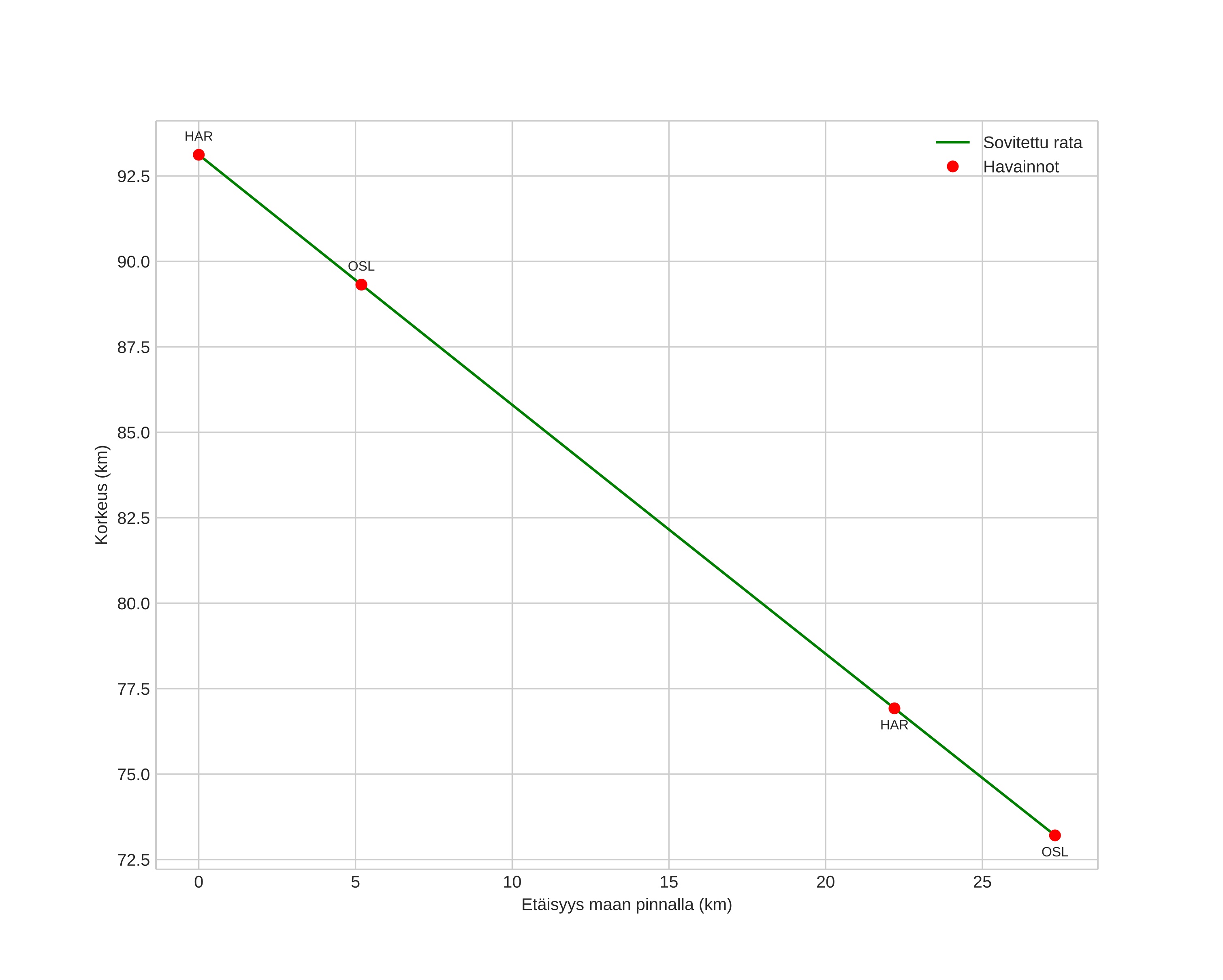
height profile
Meteorin ilmakehärata:
Alkukorkeus: 80,7 km
Loppukorkeus: 65,5 km
Alkupiste: 59,894N 11,694E
Loppupiste: 60,075N 11,629E
Suunta: 349,8°
Kallistuskulma: 36,5°
Tulonopeus: 22,6 km/s
Radiantin R,A,: 11:14 (168,7°)
Radiantin Dekl,: 2,8°
Meteoriparvi: Sporadinen
Meteoroidin rataelementit:
Perihelietäisyys: 0,623 AU
Eksentrisyys: 0,654
Inklinaatio: 1,2°
Nousevan solmun pituus: 169,8°
Perihelin argumentti: 86,8°
Keskianomalia: 340,5°
Epookki: 2019 MAR 10 22:44:24
orbit plot

Ei-interaktiivinen kuvaaja | Interaktiivinen kuvaaja

position vs time
speed and acceleration