🇳🇴 🇬🇧 🇩🇪 🇨🇿 🇫🇮

Meteor, poloha: Eidfjord 2019-03-13 21:43:25 UTC

Soubor KML  |  InteraktivnĂ­ mapa

Mapa zobrazuje dráhy meteoru. Světlejší čáry ukazují směry od pozorovacích stanic při objevení se meteoru a tmavší čáry, kde byl naposledy viděn. Modrá šipka značí viditelnou dráhu meteoru.

static map
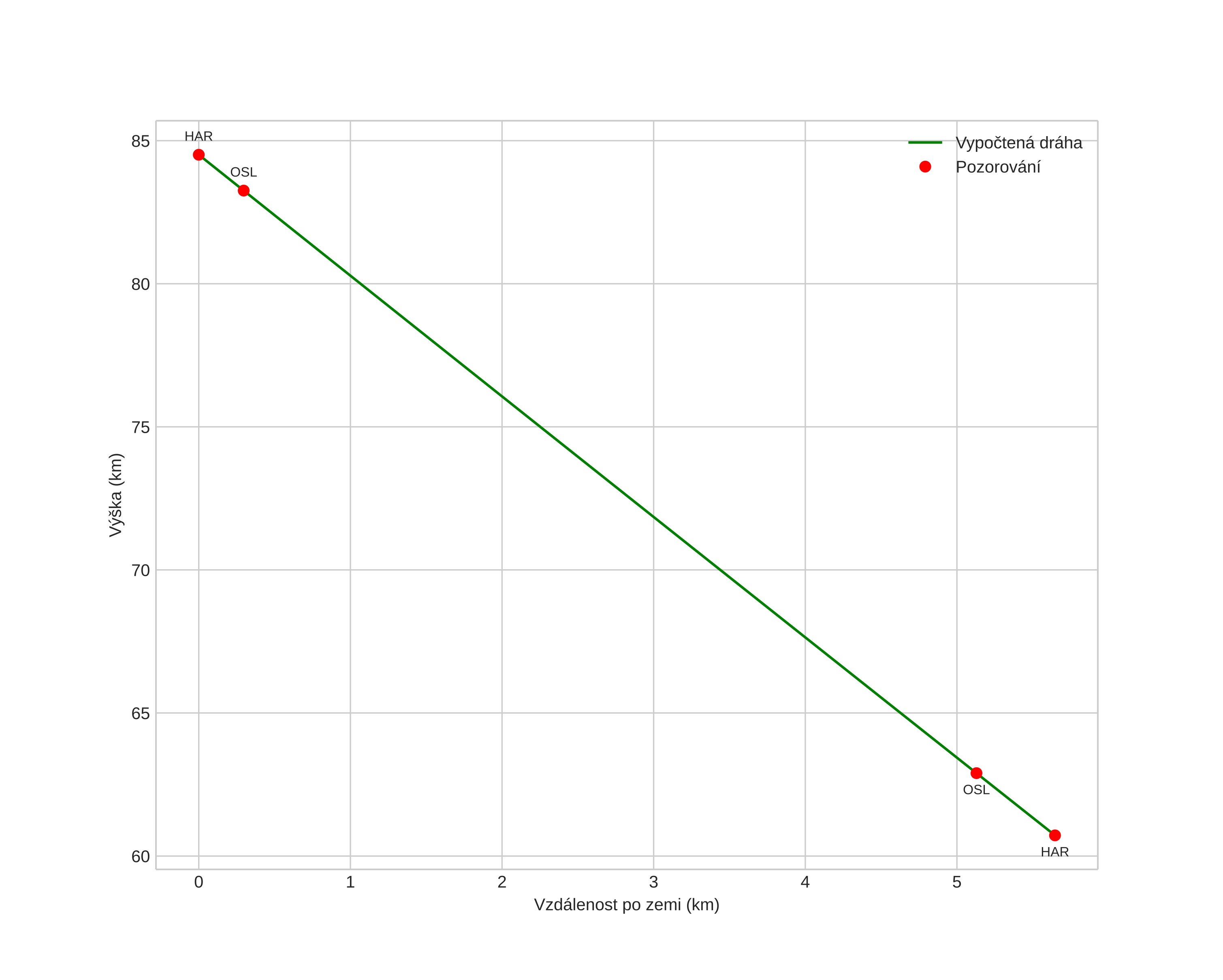
height profile
Atmosférická dráha meteoru:
Počáteční výška: 85,7 km
Konečná výška: 64,9 km
Počáteční poloha: 60,206N 7,577E
Konečná poloha: 60,255N 7,551E
Směr: 345,3°
Sklon: 75,0°
VstupnĂ­ rychlost: 19,6 km/s
Rektascenze radiantu: 09:56 (149,0°)
Deklinace radiantu: 44,1°
MeteorickĂ˝ roj: sporadickĂ˝
Elementy dráhy meteoroidu:
Vzdálenost v periheliu: 0,922 AU
Excentricita: 0,871
Sklon dráhy: 11,6°
Délka vzestupného uzlu: 352,8°
Argument perihelia: 212,5°
Střední anomálie: 358,8°
Epocha: 2019 MAR 13 21:43:25
orbit plot

NeinteraktivnĂ­ graf | InteraktivnĂ­ graf

position vs time
speed and acceleration