🇳🇴 🇬🇧 🇩🇪 🇨🇿 🇫🇮

Meteor Eidfjordin yllä 2019-03-13 21:43:25 UTC

KML-tiedosto  |  Interaktiivinen kartta

Kartta näyttää meteorin suuntahavainnot. Vaaleammat viivat näyttävät suunnat havaintoasemilta meteorin ilmestyessä, ja tummemmat viivat näyttävät, missä se viimeksi nähtiin. Sininen nuoli näyttää meteorin näkyvän lennon.

static map
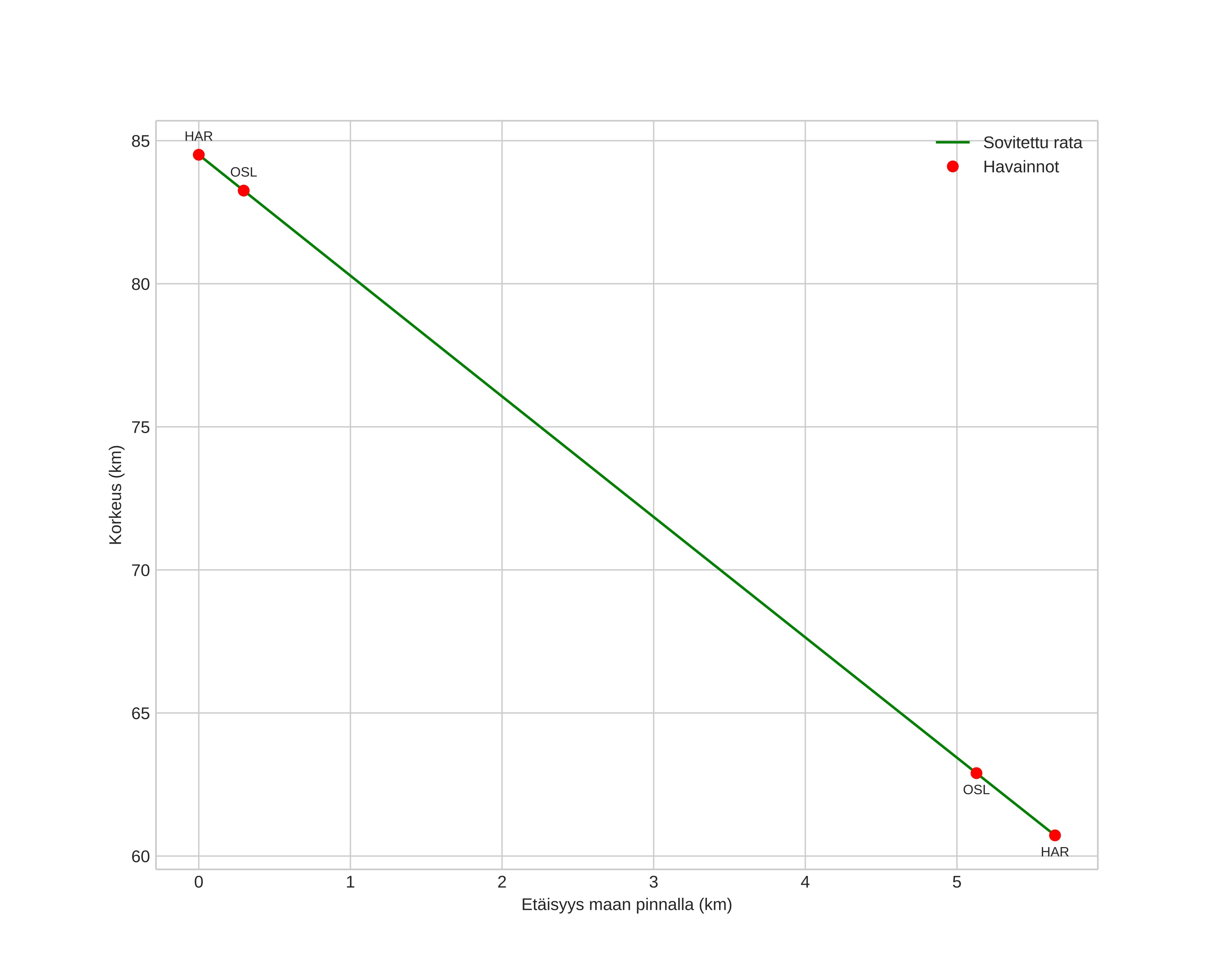
height profile
Meteorin ilmakehärata:
Alkukorkeus: 85,7 km
Loppukorkeus: 64,9 km
Alkupiste: 60,206N 7,577E
Loppupiste: 60,255N 7,551E
Suunta: 345,3°
Kallistuskulma: 75,0°
Tulonopeus: 19,6 km/s
Radiantin R,A,: 09:56 (149,0°)
Radiantin Dekl,: 44,1°
Meteoriparvi: Sporadinen
Meteoroidin rataelementit:
Perihelietäisyys: 0,922 AU
Eksentrisyys: 0,871
Inklinaatio: 11,6°
Nousevan solmun pituus: 352,8°
Perihelin argumentti: 212,5°
Keskianomalia: 358,8°
Epookki: 2019 MAR 13 21:43:25
orbit plot

Ei-interaktiivinen kuvaaja | Interaktiivinen kuvaaja

position vs time
speed and acceleration