🇳🇴 🇬🇧 🇩🇪 🇨🇿 🇫🇮

Meteor, poloha: Hauge i Dalane 2019-03-16 00:46:59 UTC

Soubor KML  |  InteraktivnĂ­ mapa

Mapa zobrazuje dráhy meteoru. Světlejší čáry ukazují směry od pozorovacích stanic při objevení se meteoru a tmavší čáry, kde byl naposledy viděn. Modrá šipka značí viditelnou dráhu meteoru.

static map
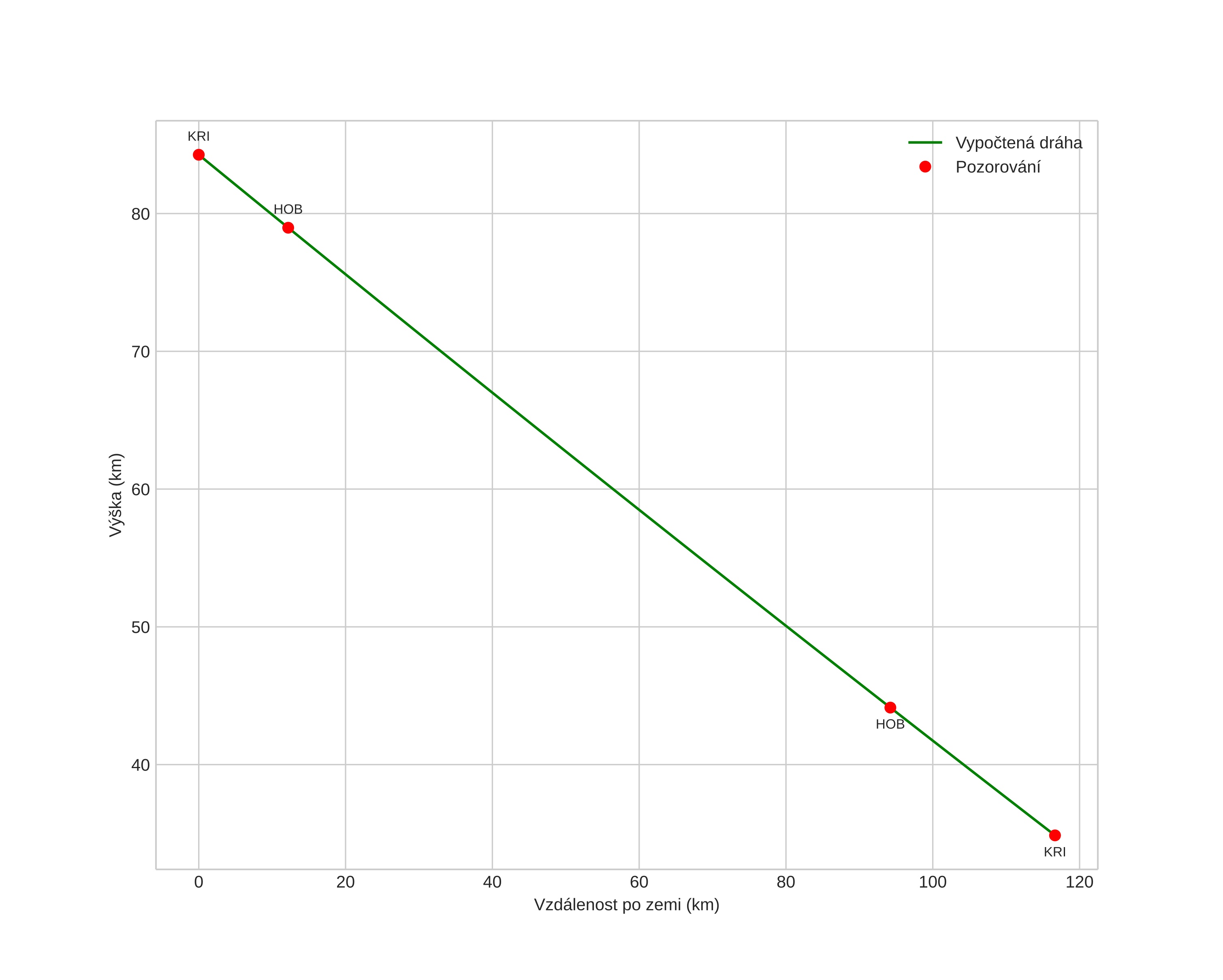
height profile
Atmosférická dráha meteoru:
Počáteční výška: 202,2 km
Konečná výška: 36,0 km
Počáteční poloha: 56,577N 0,459E
Konečná poloha: 57,870N 6,114E
Směr: 64,7°
Sklon: 24,2°
VstupnĂ­ rychlost: 28,5 km/s
Rektascenze radiantu: 08:28 (127,2°)
Deklinace radiantu: 4,8°
MeteorickĂ˝ roj: sporadickĂ˝
Elementy dráhy meteoroidu:
Vzdálenost v periheliu: 0,911 AU
Excentricita: 1,940
Sklon dráhy: 7,4°
Délka vzestupného uzlu: 174,9°
Argument perihelia: 29,2°
Střední anomálie: -16,5°
Epocha: 2019 MAR 16 00:46:59
orbit plot

NeinteraktivnĂ­ graf | InteraktivnĂ­ graf

position vs time
speed and acceleration