🇳🇴 🇬🇧 🇩🇪 🇨🇿 🇫🇮

Meteor Hauge i Dalanen yllä 2019-03-16 00:46:59 UTC

KML-tiedosto  |  Interaktiivinen kartta

Kartta näyttää meteorin suuntahavainnot. Vaaleammat viivat näyttävät suunnat havaintoasemilta meteorin ilmestyessä, ja tummemmat viivat näyttävät, missä se viimeksi nähtiin. Sininen nuoli näyttää meteorin näkyvän lennon.

static map
height profile
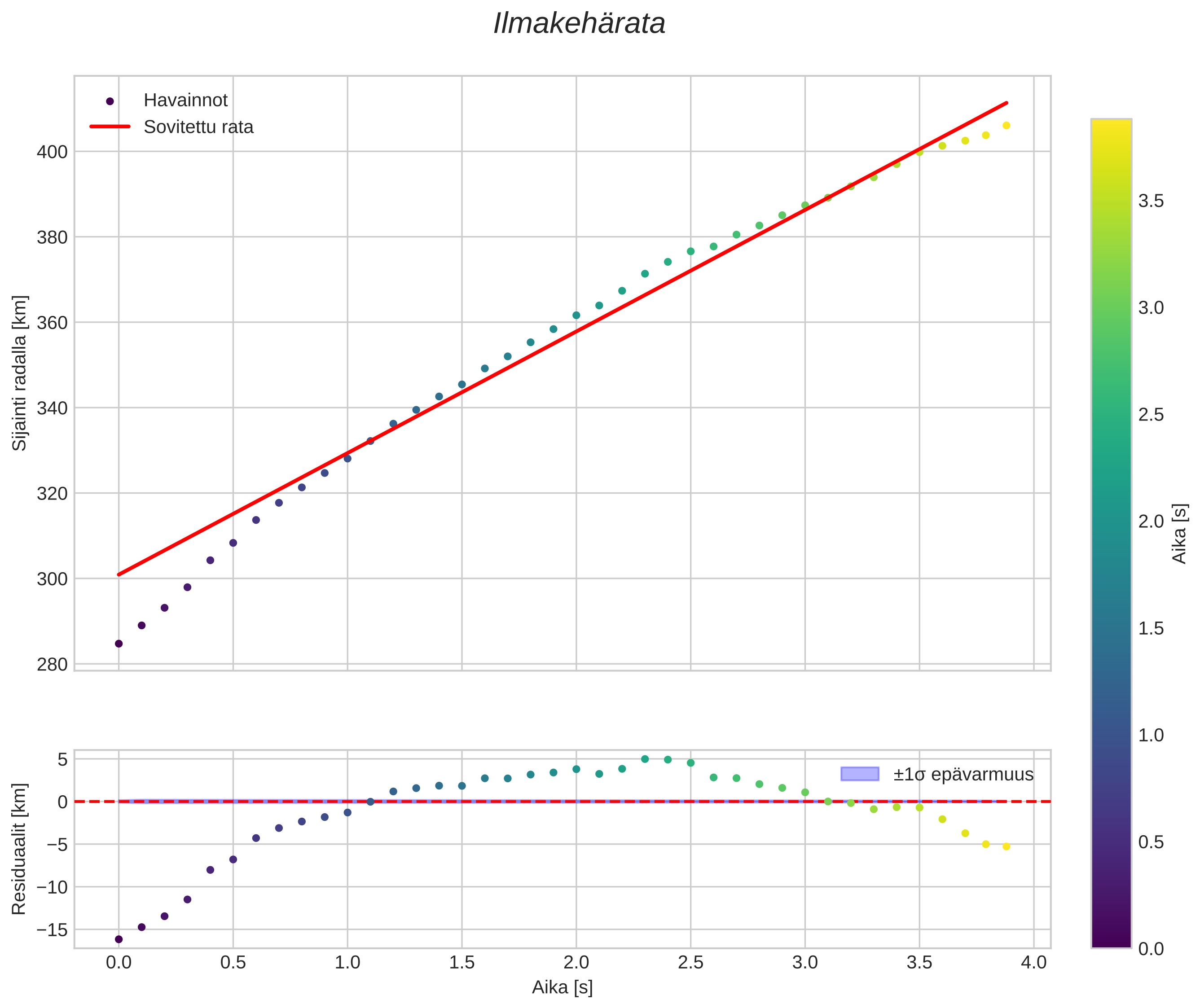
Meteorin ilmakehärata:
Alkukorkeus: 202,2 km
Loppukorkeus: 36,0 km
Alkupiste: 56,577N 0,459E
Loppupiste: 57,870N 6,114E
Suunta: 64,7°
Kallistuskulma: 24,2°
Tulonopeus: 28,5 km/s
Radiantin R,A,: 08:28 (127,2°)
Radiantin Dekl,: 4,8°
Meteoriparvi: Sporadinen
Meteoroidin rataelementit:
Perihelietäisyys: 0,911 AU
Eksentrisyys: 1,940
Inklinaatio: 7,4°
Nousevan solmun pituus: 174,9°
Perihelin argumentti: 29,2°
Keskianomalia: -16,5°
Epookki: 2019 MAR 16 00:46:59
orbit plot

Ei-interaktiivinen kuvaaja | Interaktiivinen kuvaaja

position vs time
speed and acceleration