🇳🇴 🇬🇧 🇩🇪 🇨🇿 🇫🇮

Meteor, poloha: Notodden 2019-03-21 18:42:03 UTC

Soubor KML  |  InteraktivnĂ­ mapa

Mapa zobrazuje dráhy meteoru. Světlejší čáry ukazují směry od pozorovacích stanic při objevení se meteoru a tmavší čáry, kde byl naposledy viděn. Modrá šipka značí viditelnou dráhu meteoru.

static map
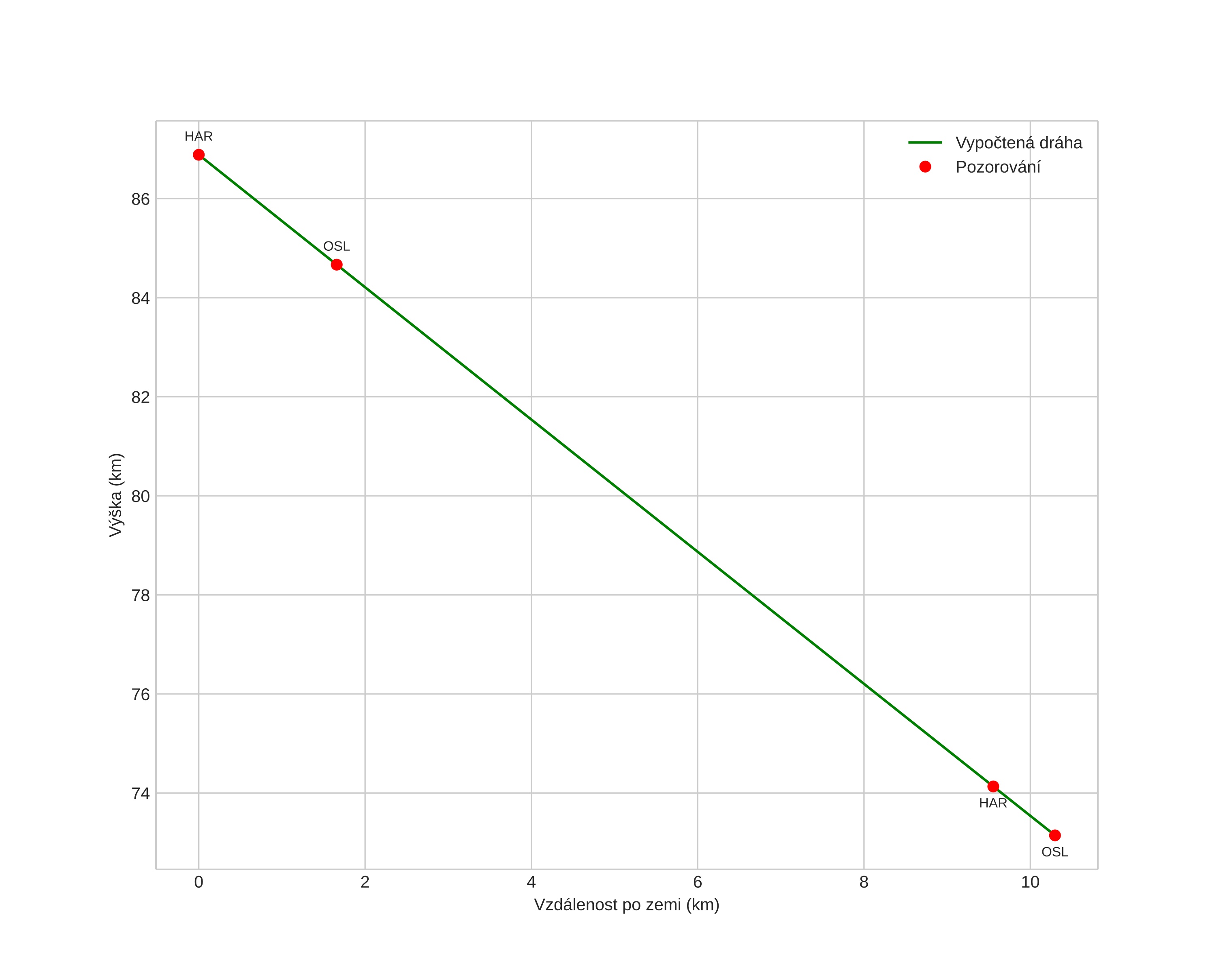
height profile
Atmosférická dráha meteoru:
Počáteční výška: 90,1 km
Konečná výška: 75,0 km
Počáteční poloha: 59,768N 9,276E
Konečná poloha: 59,728N 9,137E
Směr: 240,4°
Sklon: 59,2°
VstupnĂ­ rychlost: 21,7 km/s
Rektascenze radiantu: 11:44 (176,2°)
Deklinace radiantu: 59,8°
MeteorickĂ˝ roj: sporadickĂ˝
Elementy dráhy meteoroidu:
Vzdálenost v periheliu: 0,946 AU
Excentricita: 0,854
Sklon dráhy: 21,3°
Délka vzestupného uzlu: 0,6°
Argument perihelia: 207,0°
Střední anomálie: 358,9°
Epocha: 2019 MAR 21 18:42:03
orbit plot

NeinteraktivnĂ­ graf | InteraktivnĂ­ graf

position vs time
speed and acceleration