🇳🇴 🇬🇧 🇩🇪 🇨🇿 🇫🇮

Meteor Notoddenin yllä 2019-03-21 18:42:03 UTC

KML-tiedosto  |  Interaktiivinen kartta

Kartta näyttää meteorin suuntahavainnot. Vaaleammat viivat näyttävät suunnat havaintoasemilta meteorin ilmestyessä, ja tummemmat viivat näyttävät, missä se viimeksi nähtiin. Sininen nuoli näyttää meteorin näkyvän lennon.

static map
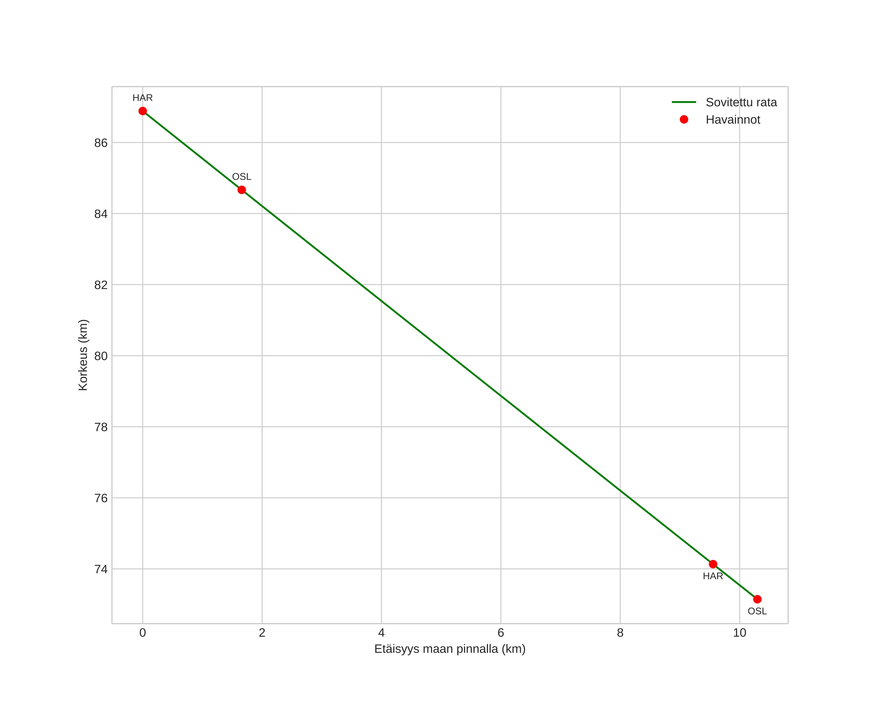
height profile
Meteorin ilmakehärata:
Alkukorkeus: 90,1 km
Loppukorkeus: 75,0 km
Alkupiste: 59,768N 9,276E
Loppupiste: 59,728N 9,137E
Suunta: 240,4°
Kallistuskulma: 59,2°
Tulonopeus: 21,7 km/s
Radiantin R,A,: 11:44 (176,2°)
Radiantin Dekl,: 59,8°
Meteoriparvi: Sporadinen
Meteoroidin rataelementit:
Perihelietäisyys: 0,946 AU
Eksentrisyys: 0,854
Inklinaatio: 21,3°
Nousevan solmun pituus: 0,6°
Perihelin argumentti: 207,0°
Keskianomalia: 358,9°
Epookki: 2019 MAR 21 18:42:03
orbit plot

Ei-interaktiivinen kuvaaja | Interaktiivinen kuvaaja

position vs time
speed and acceleration