🇳🇴 🇬🇧 🇩🇪 🇨🇿 🇫🇮

Meteor, poloha: Hamnvik 2019-03-29 22:58:50 UTC

Soubor KML  |  InteraktivnĂ­ mapa

Mapa zobrazuje dráhy meteoru. Světlejší čáry ukazují směry od pozorovacích stanic při objevení se meteoru a tmavší čáry, kde byl naposledy viděn. Modrá šipka značí viditelnou dráhu meteoru.

static map
height profile
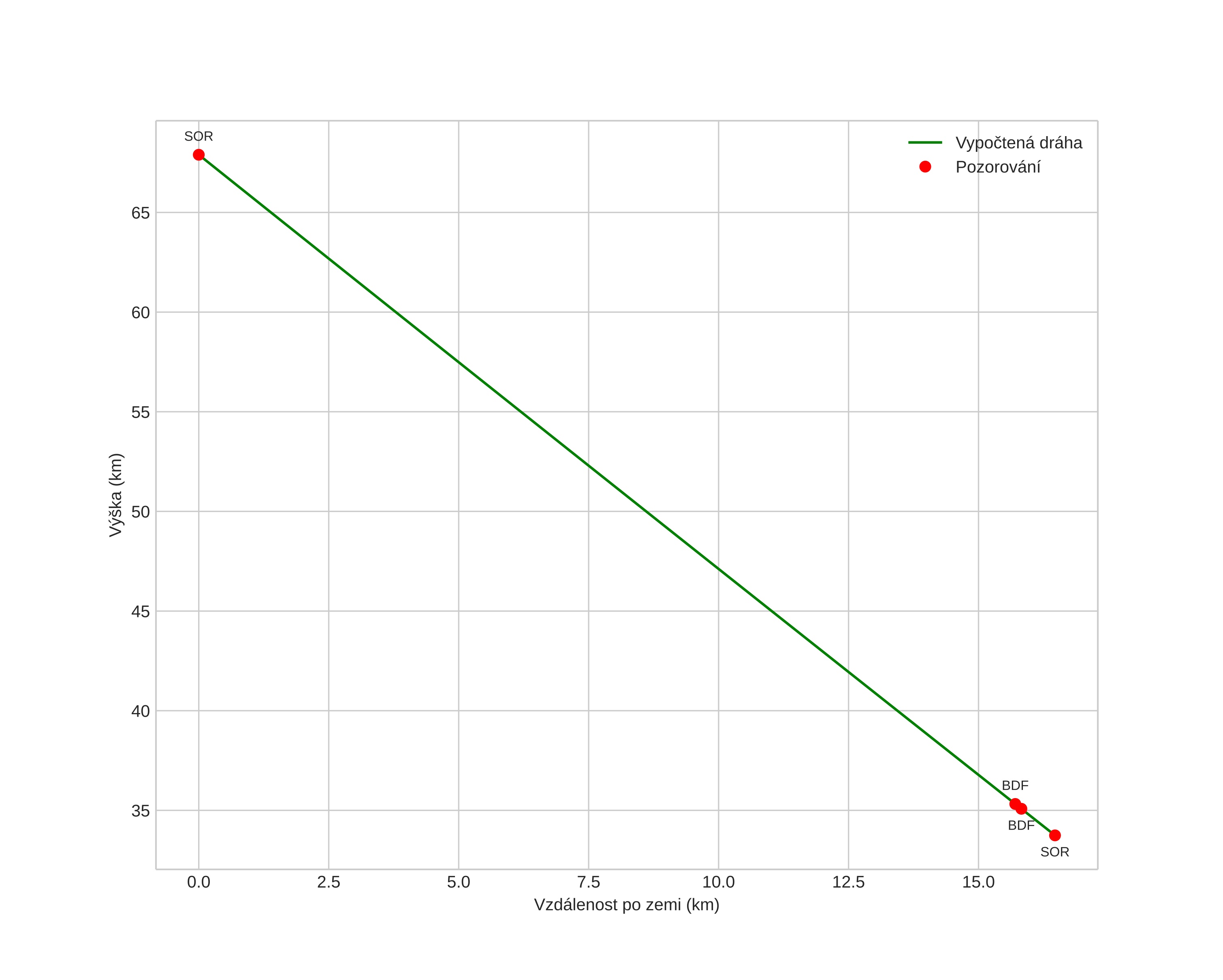
Atmosférická dráha meteoru:
Počáteční výška: 84,7 km
Konečná výška: 32,8 km
Počáteční poloha: 68,488N 16,978E
Konečná poloha: 68,702N 17,201E
Směr: 20,8°
Sklon: 64,0°
VstupnĂ­ rychlost: 18,6 km/s
Rektascenze radiantu: 11:38 (174,7°)
Deklinace radiantu: 40,3°
MeteorickĂ˝ roj: sporadickĂ˝
Elementy dráhy meteoroidu:
Vzdálenost v periheliu: 0,917 AU
Excentricita: 0,700
Sklon dráhy: 13,1°
Délka vzestupného uzlu: 8,7°
Argument perihelia: 216,6°
Střední anomálie: 355,1°
Epocha: 2019 MAR 29 22:58:50
orbit plot

NeinteraktivnĂ­ graf | InteraktivnĂ­ graf

position vs time
speed and acceleration