🇳🇴 🇬🇧 🇩🇪 🇨🇿 🇫🇮

Meteor Hamnvikin yllä 2019-03-29 22:58:50 UTC

KML-tiedosto  |  Interaktiivinen kartta

Kartta näyttää meteorin suuntahavainnot. Vaaleammat viivat näyttävät suunnat havaintoasemilta meteorin ilmestyessä, ja tummemmat viivat näyttävät, missä se viimeksi nähtiin. Sininen nuoli näyttää meteorin näkyvän lennon.

static map
height profile
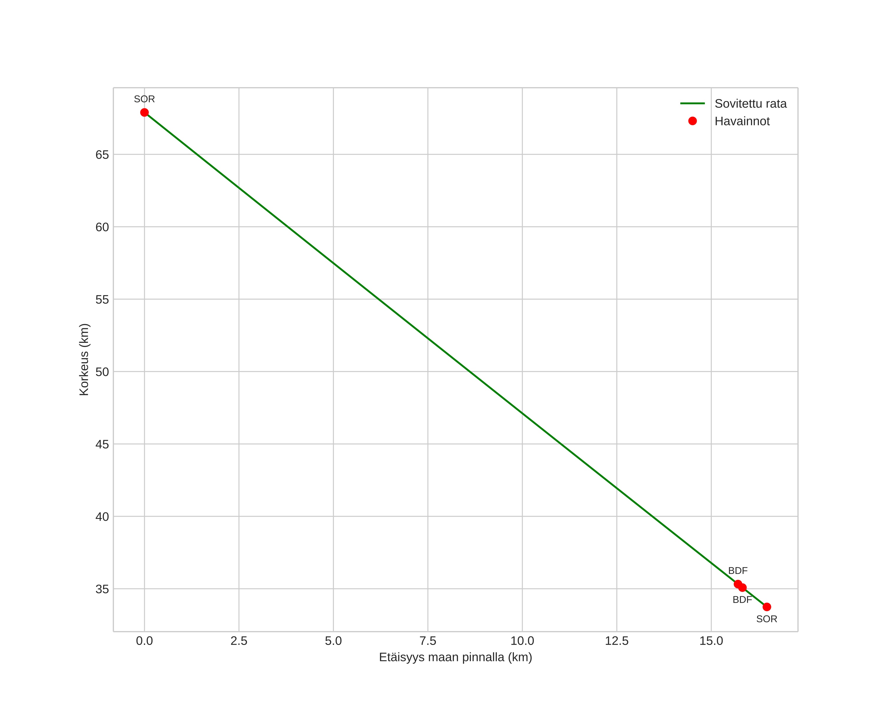
Meteorin ilmakehärata:
Alkukorkeus: 84,7 km
Loppukorkeus: 32,8 km
Alkupiste: 68,488N 16,978E
Loppupiste: 68,702N 17,201E
Suunta: 20,8°
Kallistuskulma: 64,0°
Tulonopeus: 18,6 km/s
Radiantin R,A,: 11:38 (174,7°)
Radiantin Dekl,: 40,3°
Meteoriparvi: Sporadinen
Meteoroidin rataelementit:
Perihelietäisyys: 0,917 AU
Eksentrisyys: 0,700
Inklinaatio: 13,1°
Nousevan solmun pituus: 8,7°
Perihelin argumentti: 216,6°
Keskianomalia: 355,1°
Epookki: 2019 MAR 29 22:58:50
orbit plot

Ei-interaktiivinen kuvaaja | Interaktiivinen kuvaaja

position vs time
speed and acceleration