🇳🇴 🇬🇧 🇩🇪 🇨🇿 🇫🇮

Meteor, poloha: Skotterud 2019-03-29 23:17:12 UTC

Soubor KML  |  InteraktivnĂ­ mapa

Mapa zobrazuje dráhy meteoru. Světlejší čáry ukazují směry od pozorovacích stanic při objevení se meteoru a tmavší čáry, kde byl naposledy viděn. Modrá šipka značí viditelnou dráhu meteoru.

static map
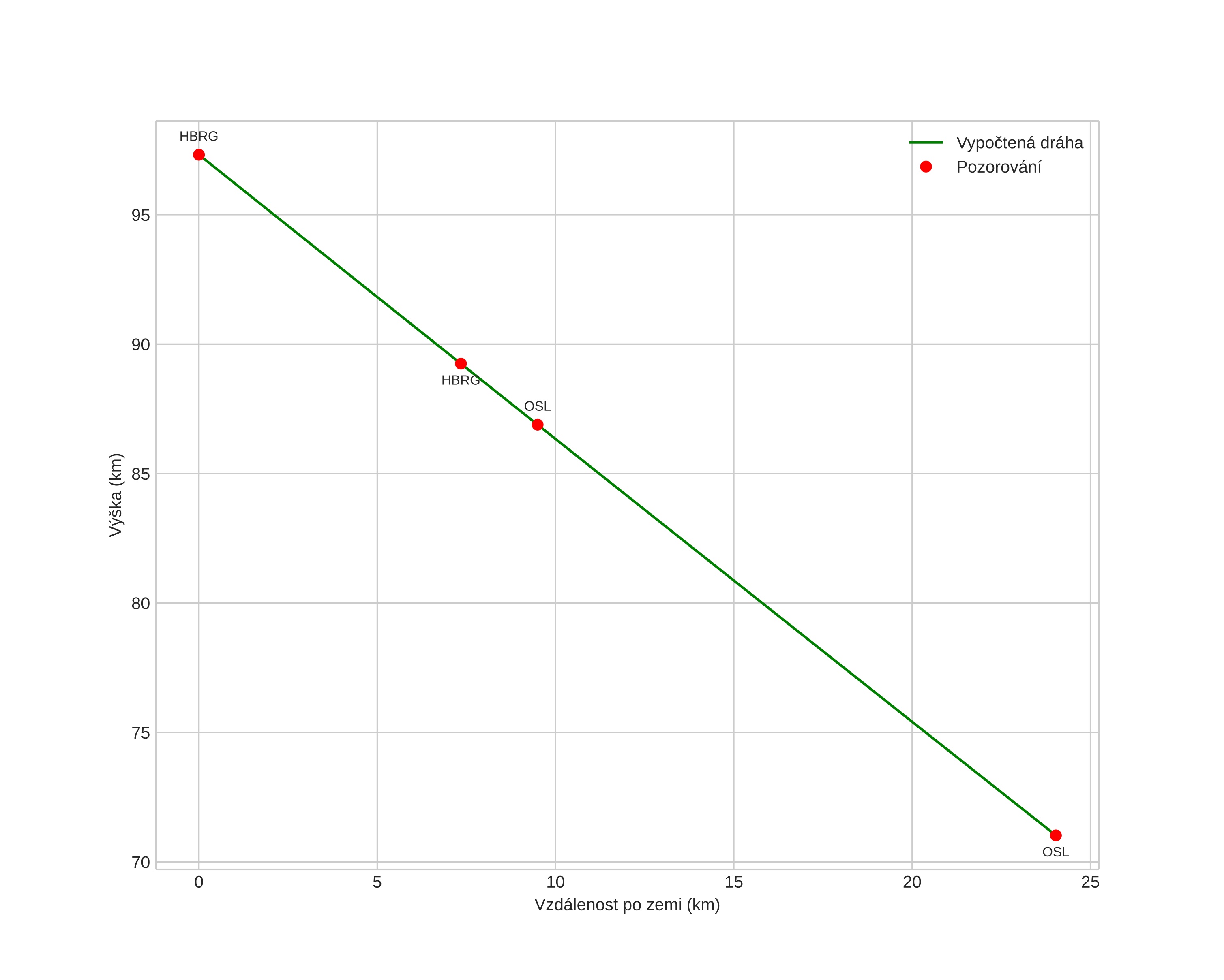
height profile
Atmosférická dráha meteoru:
Počáteční výška: 97,7 km
Konečná výška: 70,5 km
Počáteční poloha: 60,014N 12,525E
Konečná poloha: 60,059N 12,090E
Směr: 281,9°
Sklon: 47,7°
VstupnĂ­ rychlost: 45,2 km/s
Rektascenze radiantu: 16:08 (242,1°)
Deklinace radiantu: 34,4°
MeteorickĂ˝ roj: sporadickĂ˝
Elementy dráhy meteoroidu:
Vzdálenost v periheliu: 0,796 AU
Excentricita: 1,008
Sklon dráhy: 69,5°
Délka vzestupného uzlu: 8,7°
Argument perihelia: 233,5°
Střední anomálie: -0,0°
Epocha: 2019 MAR 29 23:17:12
orbit plot

NeinteraktivnĂ­ graf | InteraktivnĂ­ graf

position vs time
speed and acceleration