🇳🇴 🇬🇧 🇩🇪 🇨🇿 🇫🇮

Meteor Skotterudin yllä 2019-03-29 23:17:12 UTC

KML-tiedosto  |  Interaktiivinen kartta

Kartta näyttää meteorin suuntahavainnot. Vaaleammat viivat näyttävät suunnat havaintoasemilta meteorin ilmestyessä, ja tummemmat viivat näyttävät, missä se viimeksi nähtiin. Sininen nuoli näyttää meteorin näkyvän lennon.

static map
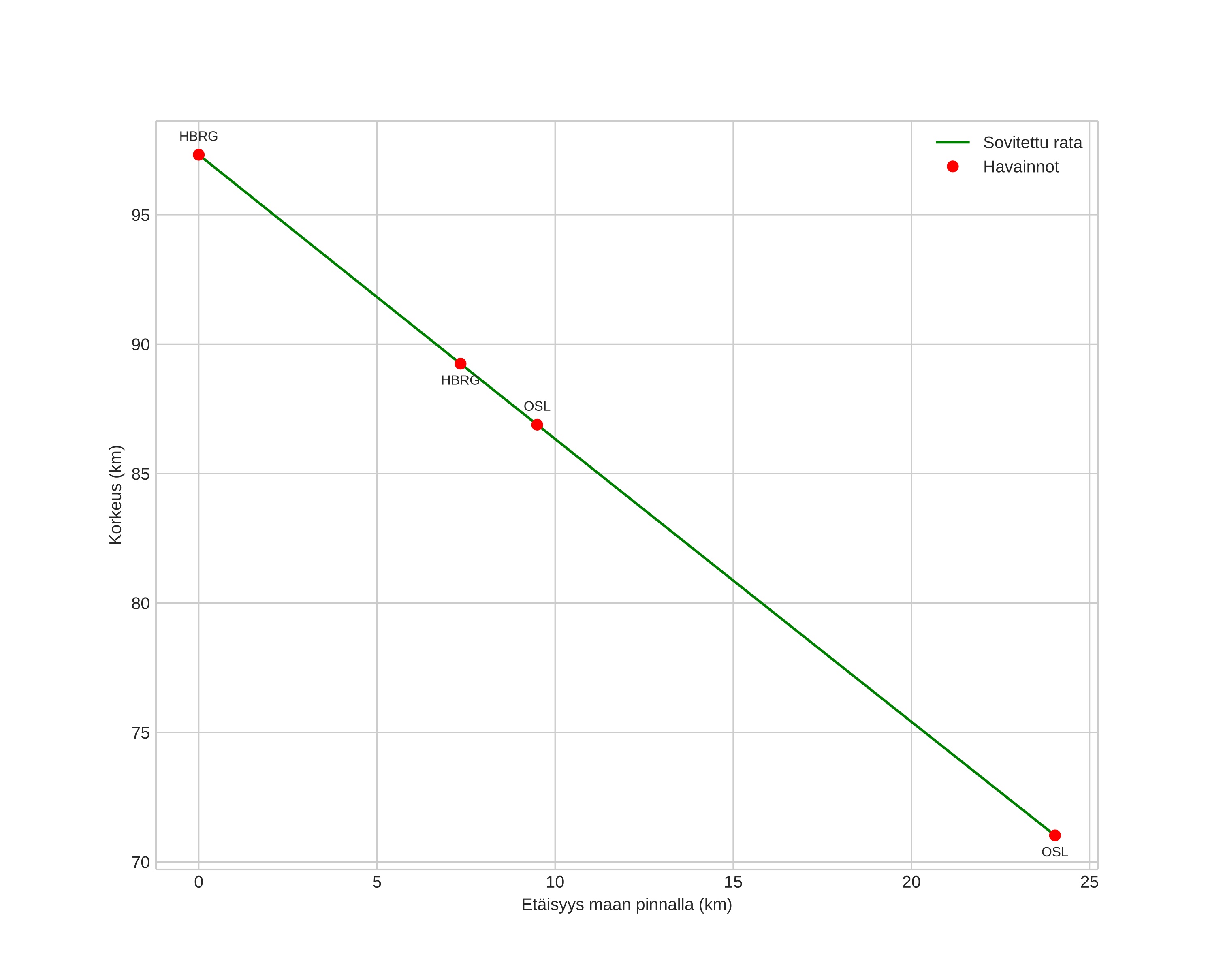
height profile
Meteorin ilmakehärata:
Alkukorkeus: 97,7 km
Loppukorkeus: 70,5 km
Alkupiste: 60,014N 12,525E
Loppupiste: 60,059N 12,090E
Suunta: 281,9°
Kallistuskulma: 47,7°
Tulonopeus: 45,2 km/s
Radiantin R,A,: 16:08 (242,1°)
Radiantin Dekl,: 34,4°
Meteoriparvi: Sporadinen
Meteoroidin rataelementit:
Perihelietäisyys: 0,796 AU
Eksentrisyys: 1,008
Inklinaatio: 69,5°
Nousevan solmun pituus: 8,7°
Perihelin argumentti: 233,5°
Keskianomalia: -0,0°
Epookki: 2019 MAR 29 23:17:12
orbit plot

Ei-interaktiivinen kuvaaja | Interaktiivinen kuvaaja

position vs time
speed and acceleration