🇳🇴 🇬🇧 🇩🇪 🇨🇿 🇫🇮

Meteor, poloha: Ă…led 2019-04-23 19:58:39 UTC

Soubor KML  |  InteraktivnĂ­ mapa

Mapa zobrazuje dráhy meteoru. Světlejší čáry ukazují směry od pozorovacích stanic při objevení se meteoru a tmavší čáry, kde byl naposledy viděn. Modrá šipka značí viditelnou dráhu meteoru.

static map
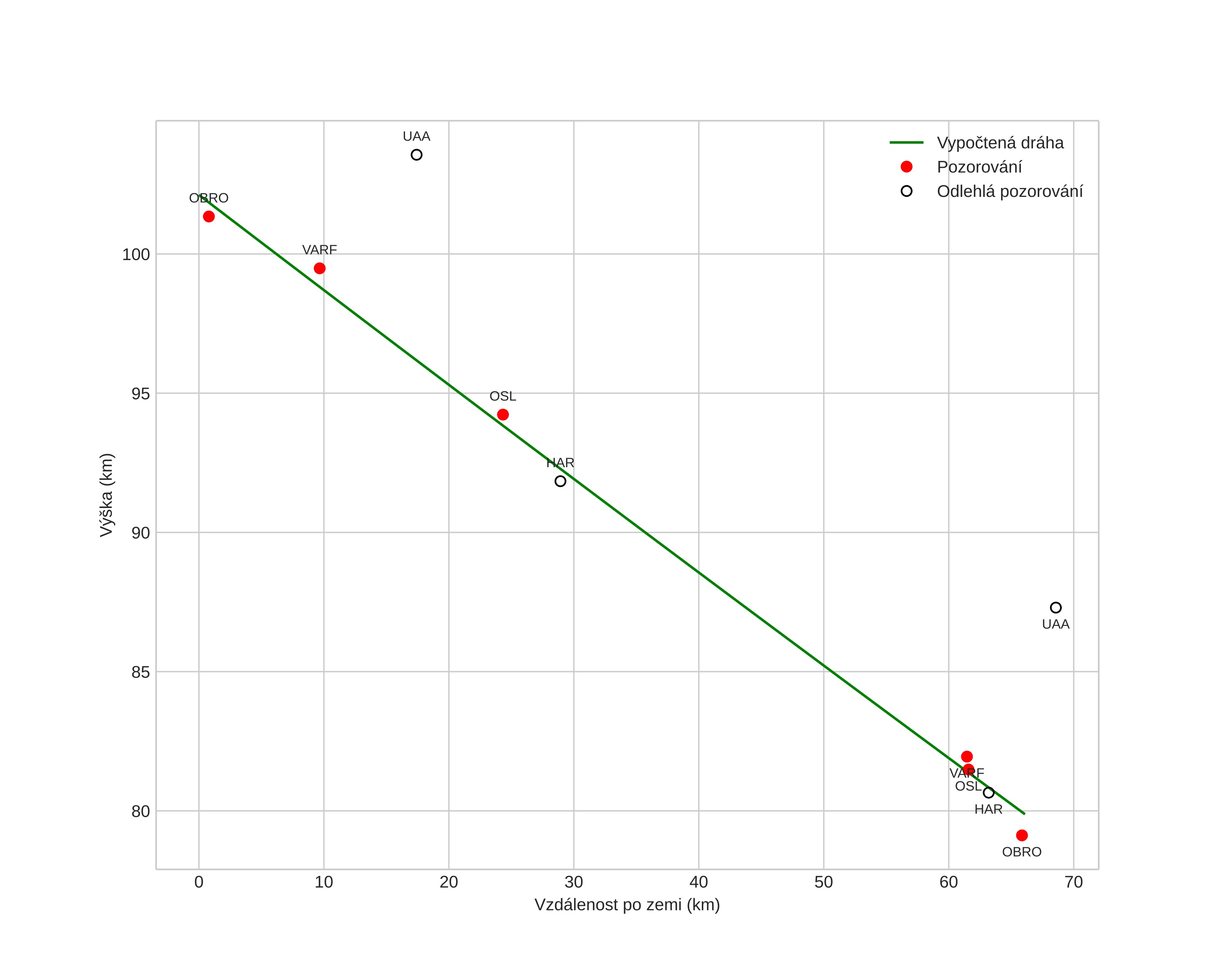
height profile
Atmosférická dráha meteoru:
Počáteční výška: 99,9 km
Konečná výška: 80,4 km
Počáteční poloha: 56,999N 13,688E
Konečná poloha: 56,757N 12,972E
Směr: 238,6°
Sklon: 20,9°
VstupnĂ­ rychlost: 50,3 km/s
Rektascenze radiantu: 18:01 (270,5°)
Deklinace radiantu: 33,7°
MeteorickĂ˝ roj: Lyridy
Elementy dráhy meteoroidu:
Vzdálenost v periheliu: 0,914 AU
Excentricita: 1,164
Sklon dráhy: 80,0°
Délka vzestupného uzlu: 33,1°
Argument perihelia: 213,9°
Střední anomálie: -1,6°
Epocha: 2019 APR 23 19:58:39
orbit plot

NeinteraktivnĂ­ graf | InteraktivnĂ­ graf

position vs time
speed and acceleration