🇳🇴 🇬🇧 🇩🇪 🇨🇿 🇫🇮

Meteor Åledin yllä 2019-04-23 19:58:39 UTC

KML-tiedosto  |  Interaktiivinen kartta

Kartta näyttää meteorin suuntahavainnot. Vaaleammat viivat näyttävät suunnat havaintoasemilta meteorin ilmestyessä, ja tummemmat viivat näyttävät, missä se viimeksi nähtiin. Sininen nuoli näyttää meteorin näkyvän lennon.

static map
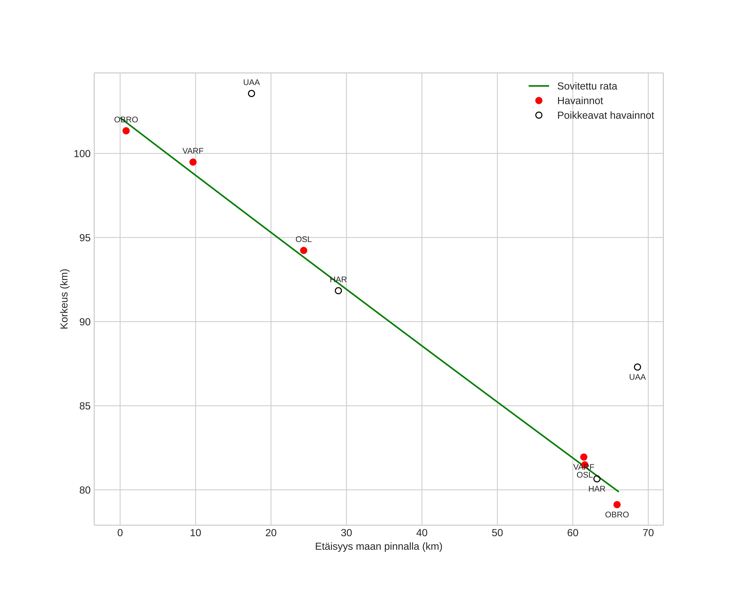
height profile
Meteorin ilmakehärata:
Alkukorkeus: 99,9 km
Loppukorkeus: 80,4 km
Alkupiste: 56,999N 13,688E
Loppupiste: 56,757N 12,972E
Suunta: 238,6°
Kallistuskulma: 20,9°
Tulonopeus: 50,3 km/s
Radiantin R,A,: 18:01 (270,5°)
Radiantin Dekl,: 33,7°
Meteoriparvi: Lyridit
Meteoroidin rataelementit:
Perihelietäisyys: 0,914 AU
Eksentrisyys: 1,164
Inklinaatio: 80,0°
Nousevan solmun pituus: 33,1°
Perihelin argumentti: 213,9°
Keskianomalia: -1,6°
Epookki: 2019 APR 23 19:58:39
orbit plot

Ei-interaktiivinen kuvaaja | Interaktiivinen kuvaaja

position vs time
speed and acceleration