🇳🇴 🇬🇧 🇩🇪 🇨🇿 🇫🇮

Meteor, poloha: Kirkenær 2019-04-23 23:39:13 UTC

Soubor KML  |  InteraktivnĂ­ mapa

Mapa zobrazuje dráhy meteoru. Světlejší čáry ukazují směry od pozorovacích stanic při objevení se meteoru a tmavší čáry, kde byl naposledy viděn. Modrá šipka značí viditelnou dráhu meteoru.

static map
height profile
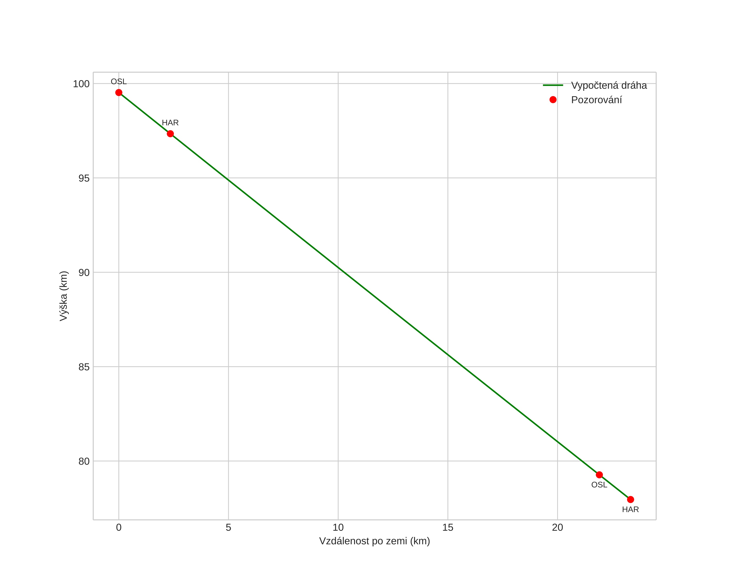
Atmosférická dráha meteoru:
Počáteční výška: 94,3 km
Konečná výška: 74,4 km
Počáteční poloha: 60,542N 12,006E
Konečná poloha: 60,346N 11,975E
Směr: 184,5°
Sklon: 42,3°
VstupnĂ­ rychlost: 21,2 km/s
Rektascenze radiantu: 02:02 (30,6°)
Deklinace radiantu: 67,5°
MeteorickĂ˝ roj: sporadickĂ˝
Elementy dráhy meteoroidu:
Vzdálenost v periheliu: 0,913 AU
Excentricita: 0,735
Sklon dráhy: 21,9°
Délka vzestupného uzlu: 33,3°
Argument perihelia: 141,5°
Střední anomálie: 4,3°
Epocha: 2019 APR 23 23:39:13
orbit plot

NeinteraktivnĂ­ graf | InteraktivnĂ­ graf

position vs time
speed and acceleration