🇳🇴 🇬🇧 🇩🇪 🇨🇿 🇫🇮

Meteor Kirkenærin yllä 2019-04-23 23:39:13 UTC

KML-tiedosto  |  Interaktiivinen kartta

Kartta näyttää meteorin suuntahavainnot. Vaaleammat viivat näyttävät suunnat havaintoasemilta meteorin ilmestyessä, ja tummemmat viivat näyttävät, missä se viimeksi nähtiin. Sininen nuoli näyttää meteorin näkyvän lennon.

static map
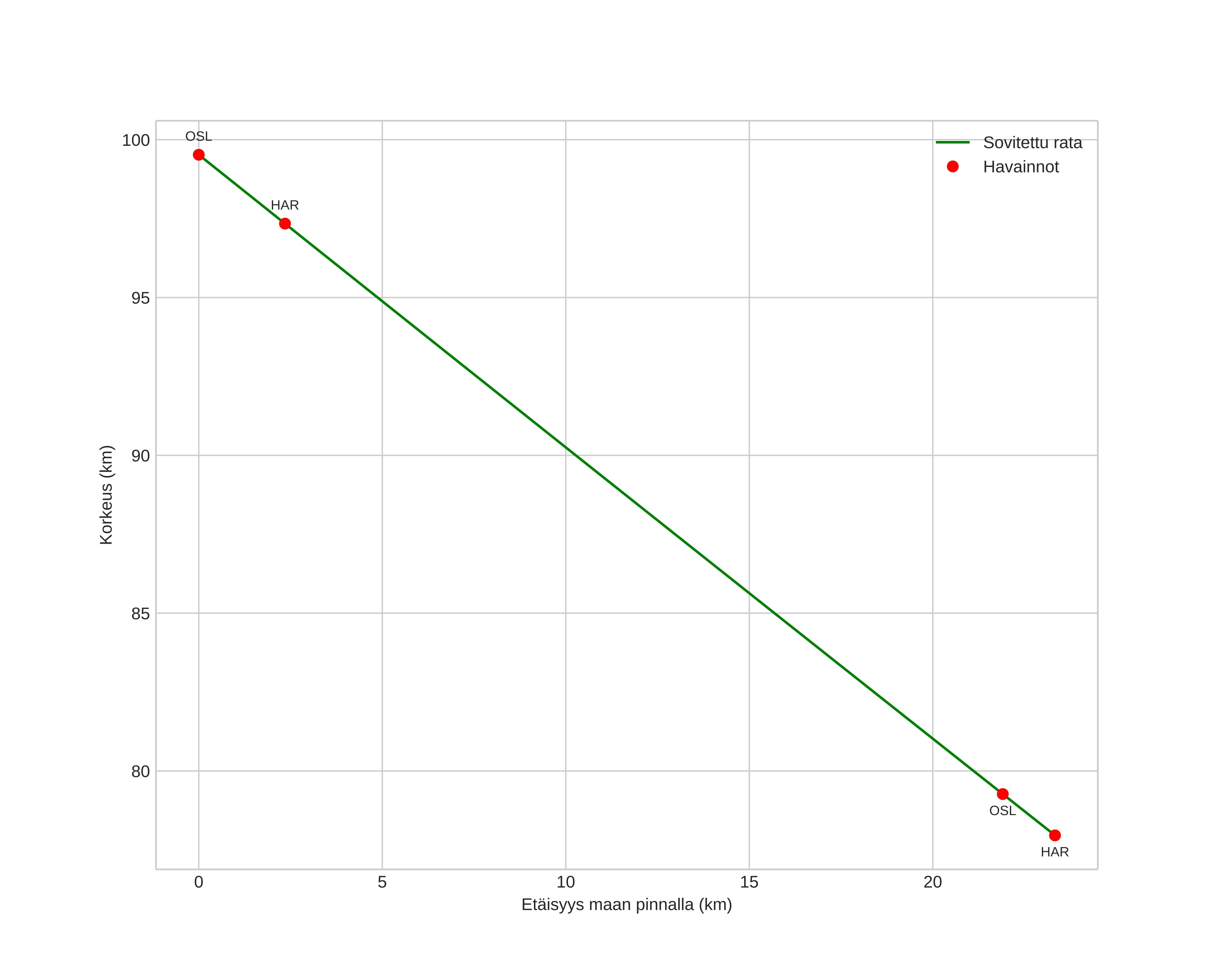
height profile
Meteorin ilmakehärata:
Alkukorkeus: 94,3 km
Loppukorkeus: 74,4 km
Alkupiste: 60,542N 12,006E
Loppupiste: 60,346N 11,975E
Suunta: 184,5°
Kallistuskulma: 42,3°
Tulonopeus: 21,2 km/s
Radiantin R,A,: 02:02 (30,6°)
Radiantin Dekl,: 67,5°
Meteoriparvi: Sporadinen
Meteoroidin rataelementit:
Perihelietäisyys: 0,913 AU
Eksentrisyys: 0,735
Inklinaatio: 21,9°
Nousevan solmun pituus: 33,3°
Perihelin argumentti: 141,5°
Keskianomalia: 4,3°
Epookki: 2019 APR 23 23:39:13
orbit plot

Ei-interaktiivinen kuvaaja | Interaktiivinen kuvaaja

position vs time
speed and acceleration