🇳🇴 🇬🇧 🇩🇪 🇨🇿 🇫🇮

Meteor, poloha: Anderstorp 2019-04-29 20:13:59 UTC

Harestua – 3
Harestua – 3
Kristiansand – 3
Kristiansand – 3

Soubor KML  | Interaktivní mapa

map

Mapa zobrazuje dráhy meteoru. Světlejší čáry ukazují směry od pozorovacích stanic při objevení se meteoru a tmavší čáry, kde byl naposledy viděn. Modrá šipka značí viditelnou dráhu meteoru.

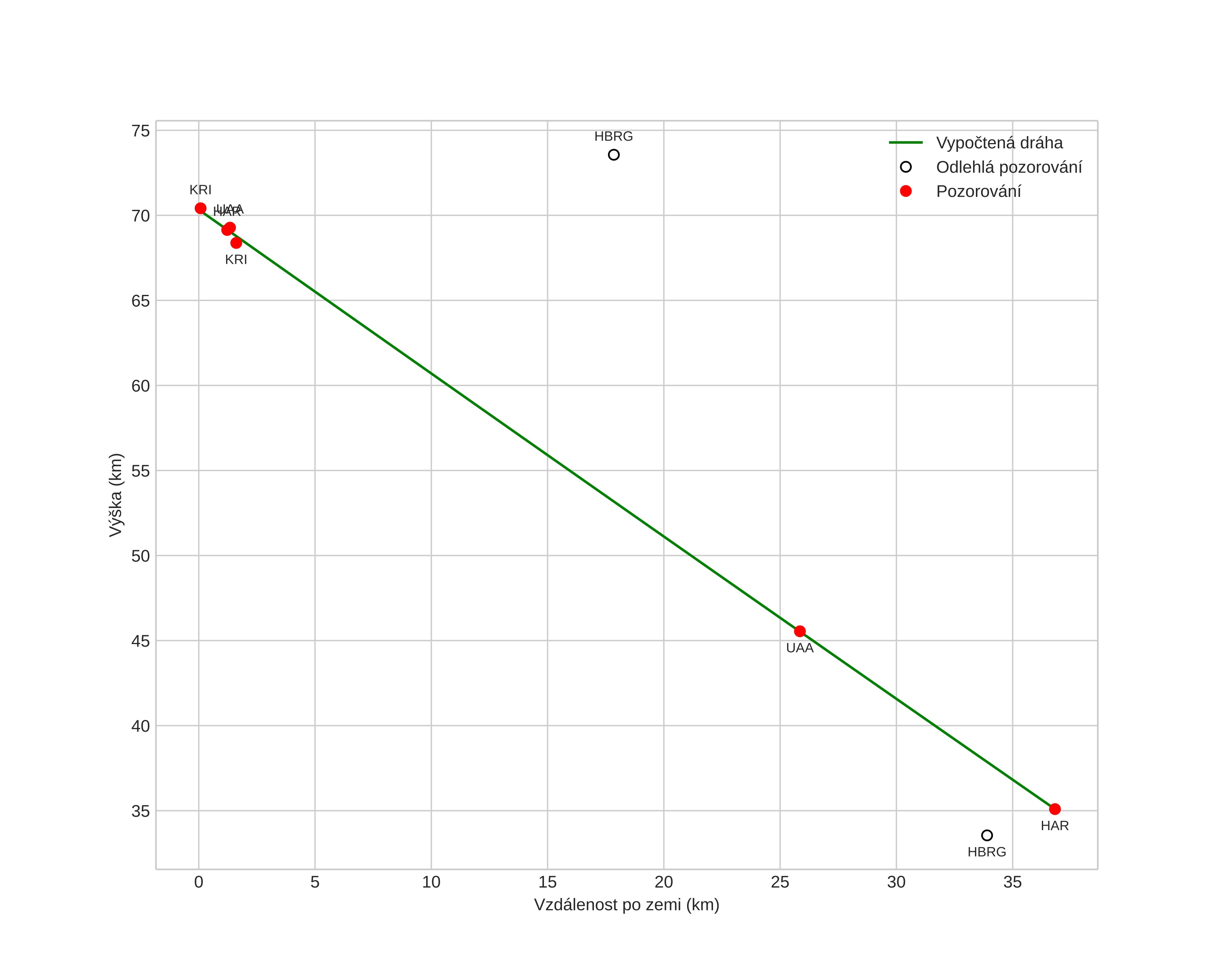
height profile
Atmosférická dráha meteoru:
Počáteční výška: 73,9 km
Konečná výška: 33,1 km
Počáteční poloha: 58,598N 14,653E
Konečná poloha: 59,013N 14,352E
Směr: 339,6°
Sklon: 39,6°
Vstupní rychlost: 18,2 km/s
Rektascenze radiantu: 12:45 (191,5°)
Deklinace radiantu: 3,6°
Meteorický roj: sporadický
Elementy dráhy meteoroidu:
Vzdálenost v periheliu: 0,893 AU
Excentricita: 0,723
Sklon dráhy: 3,0°
Délka vzestupného uzlu: 39,0°
Argument perihelia: 223,1°
Střední anomálie: 354,8°
Epocha: 2019 APR 29 20:13:59
orbit

Neinteraktivní graf | Interaktivní graf

position vs time
speed & acceleration