🇳🇴 🇬🇧 🇩🇪 🇨🇿 🇫🇮

Meteor über Anderstorp 2019-04-29 20:13:59 UTC

Harestua – 3
Harestua – 3
Kristiansand – 3
Kristiansand – 3

KML-Datei  | Interaktive Karte

map

Die Karte zeigt die Peilungen für den Meteor. Die helleren Linien zeigen die Richtungen von den Beobachtungsorten beim Erscheinen des Meteors, und die dunkleren Linien, wo er zuletzt gesehen wurde. Der blaue Pfeil zeigt die sichtbare Bahn des Meteors.

height profile
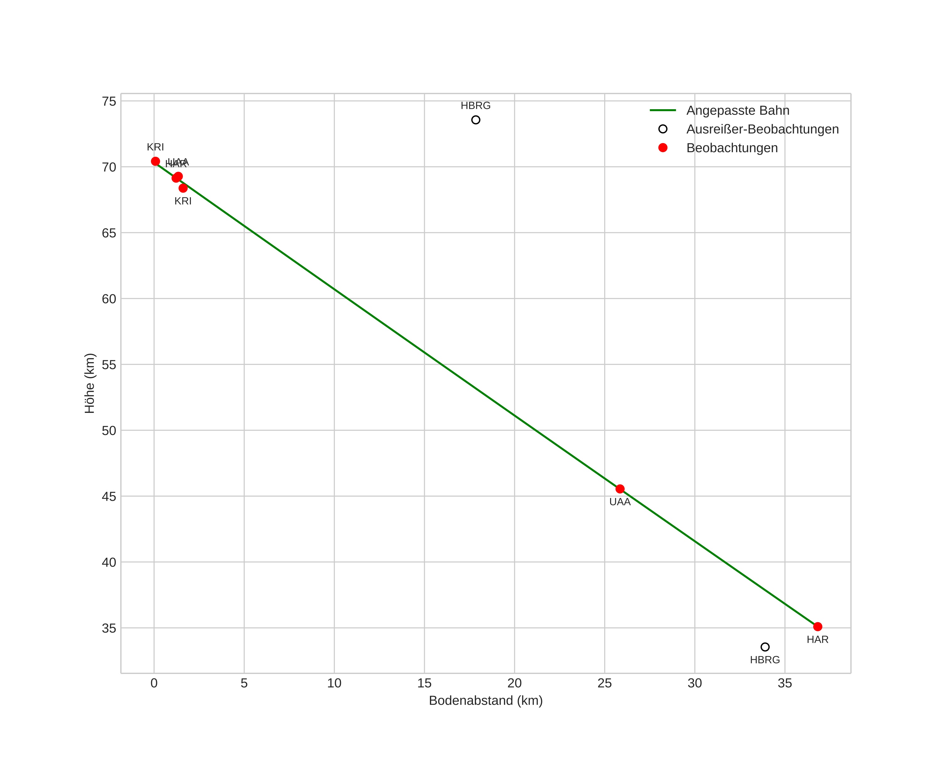
Atmosphärische Bahn des Meteors:
Anfangshöhe: 73,9 km
Endhöhe: 33,1 km
Startposition: 58,598N 14,653E
Endposition: 59,013N 14,352E
Richtung: 339,6°
Neigungswinkel: 39,6°
Eintrittsgeschwindigkeit: 18,2 km/s
Rektaszension des Radianten: 12:45 (191,5°)
Deklination des Radianten: 3,6°
Meteorstrom: sporadisch
Bahnelemente des Meteoroiden:
Periheldistanz: 0,893 AU
Exzentrizität: 0,723
Inklination: 3,0°
Länge des aufsteigenden Knotens: 39,0°
Argument des Perihels: 223,1°
Mittlere Anomalie: 354,8°
Epoche: 2019 APR 29 20:13:59
orbit

Nicht-interaktives Diagramm | Interaktives Diagramm

position vs time
speed & acceleration