🇳🇴 🇬🇧 🇩🇪 🇨🇿 🇫🇮

Meteor, poloha: Segalstad bru 2019-04-30 23:23:24 UTC

Soubor KML  |  InteraktivnĂ­ mapa

Mapa zobrazuje dráhy meteoru. Světlejší čáry ukazují směry od pozorovacích stanic při objevení se meteoru a tmavší čáry, kde byl naposledy viděn. Modrá šipka značí viditelnou dráhu meteoru.

static map
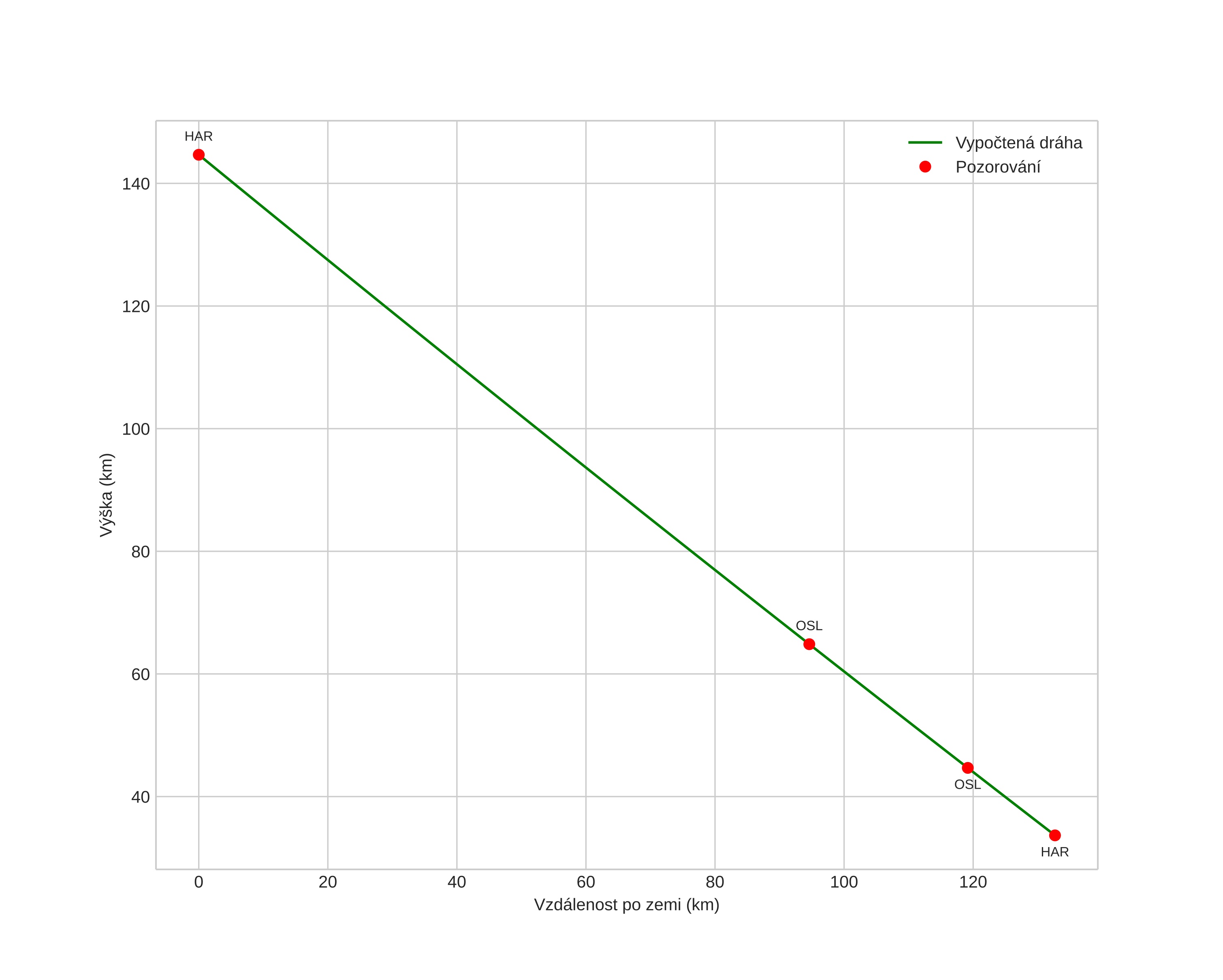
height profile
Atmosférická dráha meteoru:
Počáteční výška: 77,4 km
Konečná výška: 54,1 km
Počáteční poloha: 61,032N 9,580E
Konečná poloha: 61,184N 9,987E
Směr: 52,1°
Sklon: 40,1°
VstupnĂ­ rychlost: 12,5 km/s
Rektascenze radiantu: 11:21 (170,4°)
Deklinace radiantu: 2,0°
MeteorickĂ˝ roj: sporadickĂ˝
Elementy dráhy meteoroidu:
Vzdálenost v periheliu: 0,988 AU
Excentricita: 0,350
Sklon dráhy: 0,3°
Délka vzestupného uzlu: 219,7°
Argument perihelia: 22,6°
Střední anomálie: 349,8°
Epocha: 2019 APR 30 23:23:24
orbit plot

NeinteraktivnĂ­ graf | InteraktivnĂ­ graf

position vs time
speed and acceleration