🇳🇴 🇬🇧 🇩🇪 🇨🇿 🇫🇮

Meteor Segalstad brun yllä 2019-04-30 23:23:24 UTC

KML-tiedosto  |  Interaktiivinen kartta

Kartta näyttää meteorin suuntahavainnot. Vaaleammat viivat näyttävät suunnat havaintoasemilta meteorin ilmestyessä, ja tummemmat viivat näyttävät, missä se viimeksi nähtiin. Sininen nuoli näyttää meteorin näkyvän lennon.

static map
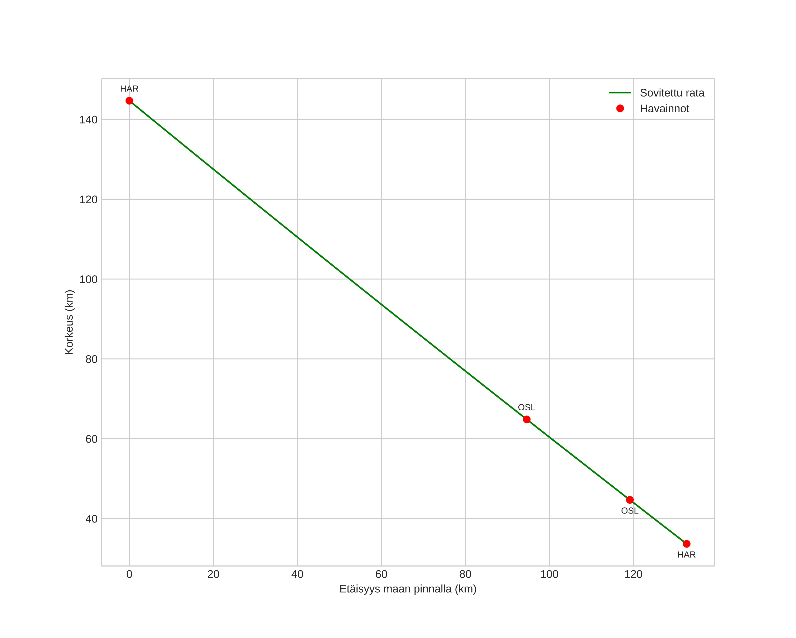
height profile
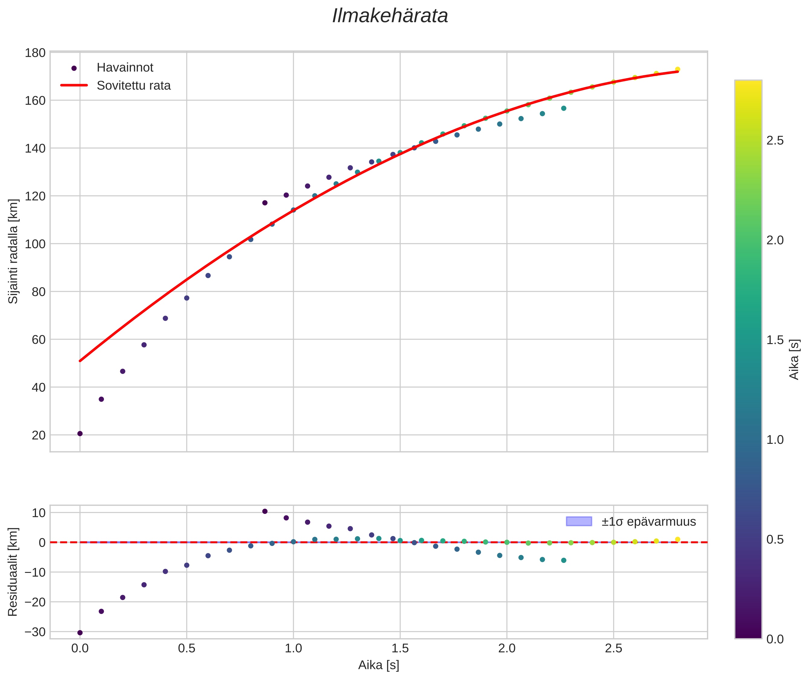
Meteorin ilmakehärata:
Alkukorkeus: 77,4 km
Loppukorkeus: 54,1 km
Alkupiste: 61,032N 9,580E
Loppupiste: 61,184N 9,987E
Suunta: 52,1°
Kallistuskulma: 40,1°
Tulonopeus: 12,5 km/s
Radiantin R,A,: 11:21 (170,4°)
Radiantin Dekl,: 2,0°
Meteoriparvi: Sporadinen
Meteoroidin rataelementit:
Perihelietäisyys: 0,988 AU
Eksentrisyys: 0,350
Inklinaatio: 0,3°
Nousevan solmun pituus: 219,7°
Perihelin argumentti: 22,6°
Keskianomalia: 349,8°
Epookki: 2019 APR 30 23:23:24
orbit plot

Ei-interaktiivinen kuvaaja | Interaktiivinen kuvaaja

position vs time
speed and acceleration