🇳🇴 🇬🇧 🇩🇪 🇨🇿 🇫🇮

Meteor, poloha: Svortland 2019-05-01 01:54:32 UTC

Soubor KML  |  InteraktivnĂ­ mapa

Mapa zobrazuje dráhy meteoru. Světlejší čáry ukazují směry od pozorovacích stanic při objevení se meteoru a tmavší čáry, kde byl naposledy viděn. Modrá šipka značí viditelnou dráhu meteoru.

static map
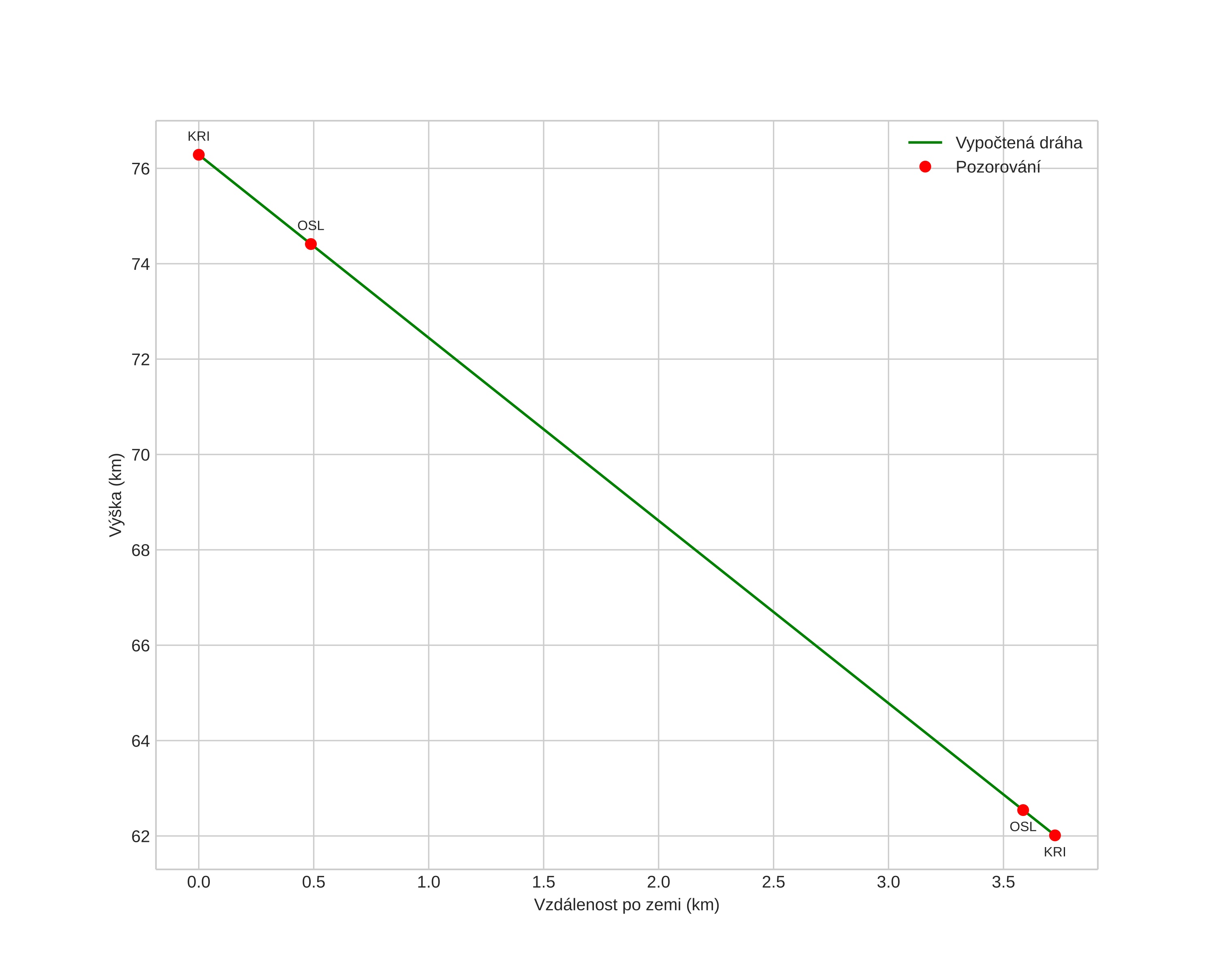
height profile
Atmosférická dráha meteoru:
Počáteční výška: 75,4 km
Konečná výška: 61,1 km
Počáteční poloha: 59,940N 4,379E
Konečná poloha: 59,932N 4,446E
Směr: 103,3°
Sklon: 75,0°
VstupnĂ­ rychlost: 15,9 km/s
Rektascenze radiantu: 14:20 (215,2°)
Deklinace radiantu: 58,8°
MeteorickĂ˝ roj: sporadickĂ˝
Elementy dráhy meteoroidu:
Vzdálenost v periheliu: 0,996 AU
Excentricita: 0,394
Sklon dráhy: 17,2°
Délka vzestupného uzlu: 40,2°
Argument perihelia: 196,1°
Střední anomálie: 353,5°
Epocha: 2019 MAY 01 01:54:32
orbit plot

NeinteraktivnĂ­ graf | InteraktivnĂ­ graf

position vs time
speed and acceleration