🇳🇴 🇬🇧 🇩🇪 🇨🇿 🇫🇮

Meteor Svortlandin yllä 2019-05-01 01:54:32 UTC

KML-tiedosto  |  Interaktiivinen kartta

Kartta näyttää meteorin suuntahavainnot. Vaaleammat viivat näyttävät suunnat havaintoasemilta meteorin ilmestyessä, ja tummemmat viivat näyttävät, missä se viimeksi nähtiin. Sininen nuoli näyttää meteorin näkyvän lennon.

static map
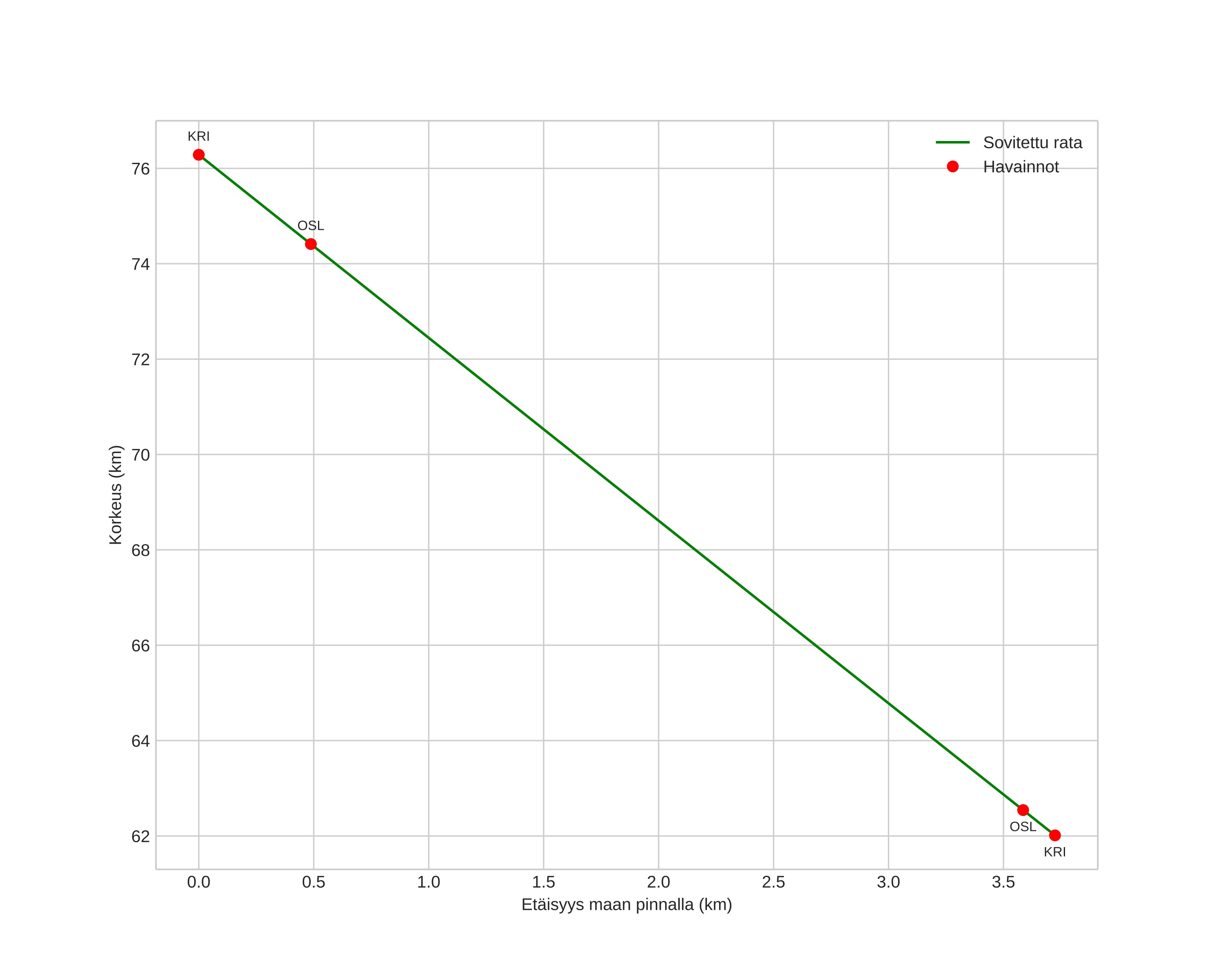
height profile
Meteorin ilmakehärata:
Alkukorkeus: 75,4 km
Loppukorkeus: 61,1 km
Alkupiste: 59,940N 4,379E
Loppupiste: 59,932N 4,446E
Suunta: 103,3°
Kallistuskulma: 75,0°
Tulonopeus: 15,9 km/s
Radiantin R,A,: 14:20 (215,2°)
Radiantin Dekl,: 58,8°
Meteoriparvi: Sporadinen
Meteoroidin rataelementit:
Perihelietäisyys: 0,996 AU
Eksentrisyys: 0,394
Inklinaatio: 17,2°
Nousevan solmun pituus: 40,2°
Perihelin argumentti: 196,1°
Keskianomalia: 353,5°
Epookki: 2019 MAY 01 01:54:32
orbit plot

Ei-interaktiivinen kuvaaja | Interaktiivinen kuvaaja

position vs time
speed and acceleration