🇳🇴 🇬🇧 🇩🇪 🇨🇿 🇫🇮

Meteor, poloha: Kirkebygda 2019-08-03 00:07:44 UTC

Soubor KML  |  InteraktivnĂ­ mapa

Mapa zobrazuje dráhy meteoru. Světlejší čáry ukazují směry od pozorovacích stanic při objevení se meteoru a tmavší čáry, kde byl naposledy viděn. Modrá šipka značí viditelnou dráhu meteoru.

static map
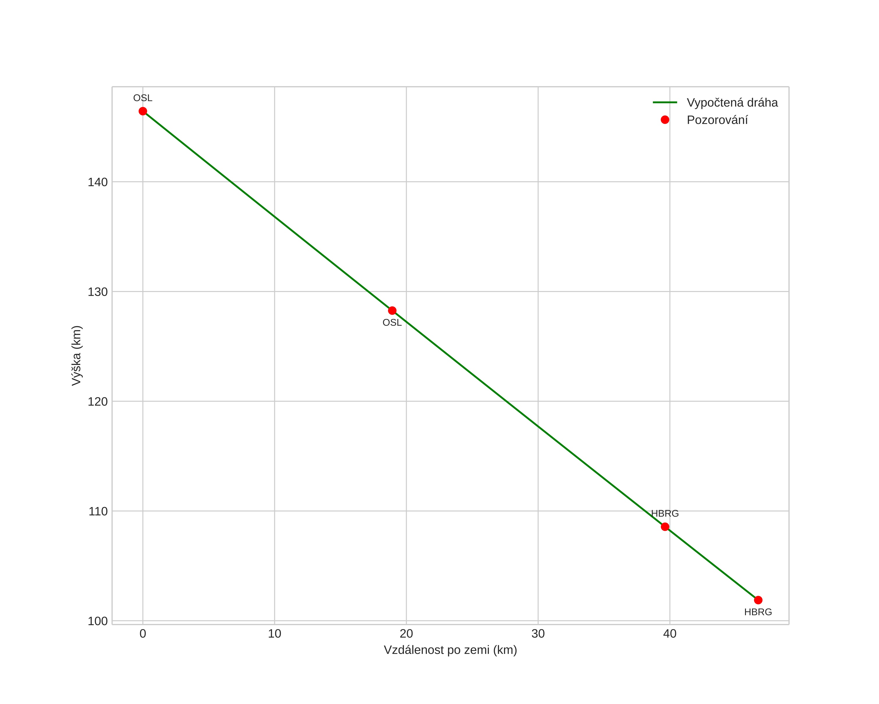
height profile
Atmosférická dráha meteoru:
Počáteční výška: 148,2 km
Konečná výška: 101,4 km
Počáteční poloha: 59,997N 11,843E
Konečná poloha: 59,780N 11,097E
Směr: 240,2°
Sklon: 44,2°
VstupnĂ­ rychlost: 52,5 km/s
Rektascenze radiantu: 03:25 (51,4°)
Deklinace radiantu: 51,1°
MeteorickĂ˝ roj: sporadickĂ˝
Elementy dráhy meteoroidu:
Vzdálenost v periheliu: 0,621 AU
Excentricita: 0,547
Sklon dráhy: 112,5°
Délka vzestupného uzlu: 130,1°
Argument perihelia: 84,3°
Střední anomálie: 34,1°
Epocha: 2019 AUG 03 00:07:44
orbit plot

NeinteraktivnĂ­ graf | InteraktivnĂ­ graf

position vs time
speed and acceleration