🇳🇴 🇬🇧 🇩🇪 🇨🇿 🇫🇮

Meteor über Kirkebygda 2019-08-03 00:07:44 UTC

KML-Datei  |  Interaktive Karte

Die Karte zeigt die Peilungen für den Meteor. Die helleren Linien zeigen die Richtungen von den Beobachtungsorten beim Erscheinen des Meteors, und die dunkleren Linien, wo er zuletzt gesehen wurde. Der blaue Pfeil zeigt die sichtbare Bahn des Meteors.

static map
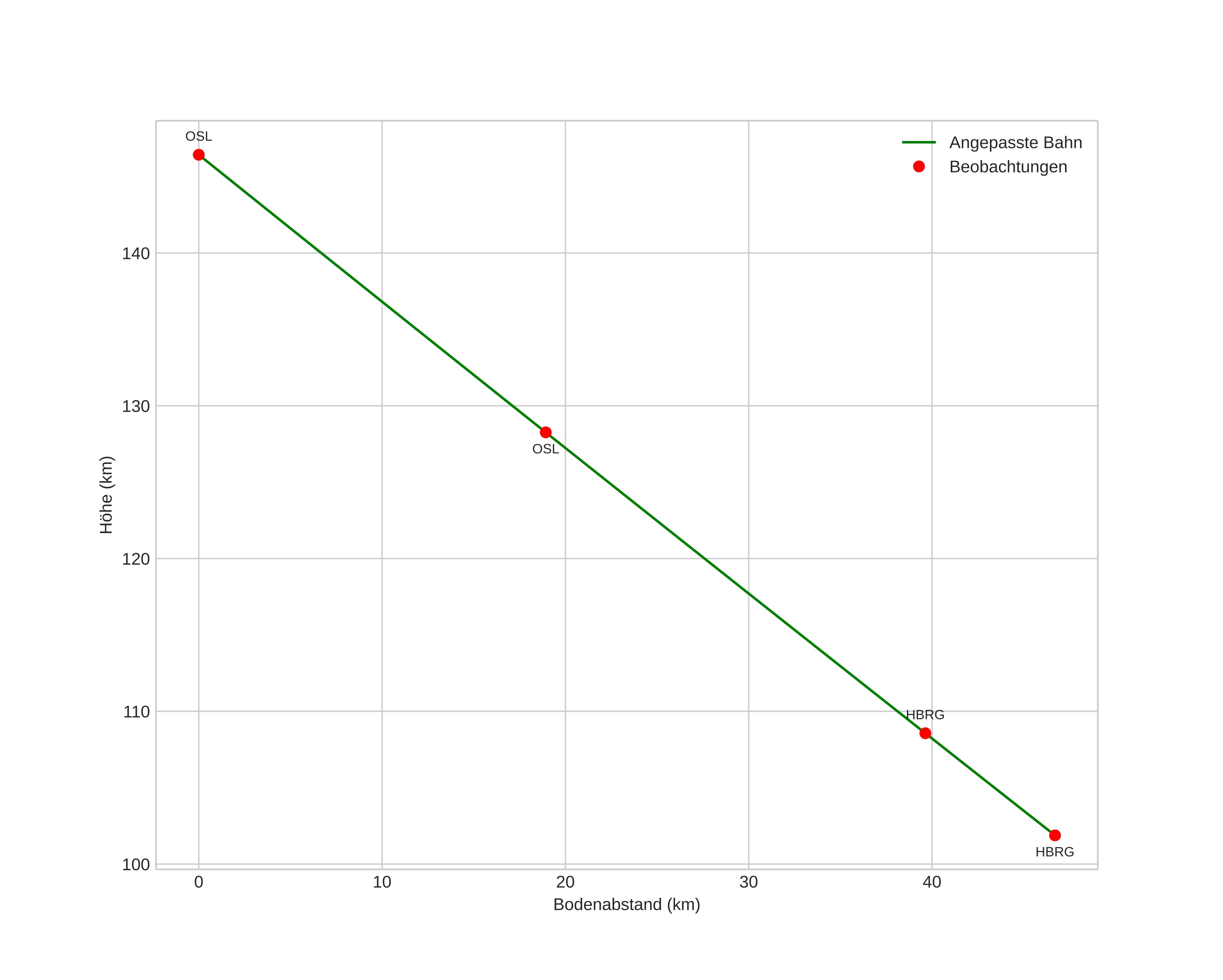
height profile
Atmosphärische Bahn des Meteors:
Anfangshöhe: 148,2 km
Endhöhe: 101,4 km
Startposition: 59,997N 11,843E
Endposition: 59,780N 11,097E
Richtung: 240,2°
Neigungswinkel: 44,2°
Eintrittsgeschwindigkeit: 52,5 km/s
Rektaszension des Radianten: 03:25 (51,4°)
Deklination des Radianten: 51,1°
Meteorstrom: sporadisch
Bahnelemente des Meteoroiden:
Periheldistanz: 0,621 AU
Exzentrizität: 0,547
Inklination: 112,5°
Länge des aufsteigenden Knotens: 130,1°
Argument des Perihels: 84,3°
Mittlere Anomalie: 34,1°
Epoche: 2019 AUG 03 00:07:44
orbit plot

Nicht-interaktives Diagramm | Interaktives Diagramm

position vs time
speed and acceleration