🇳🇴 🇬🇧 🇩🇪 🇨🇿 🇫🇮

Meteor, poloha: Hønefoss 2019-08-03 01:21:36 UTC

Soubor KML  |  InteraktivnĂ­ mapa

Mapa zobrazuje dráhy meteoru. Světlejší čáry ukazují směry od pozorovacích stanic při objevení se meteoru a tmavší čáry, kde byl naposledy viděn. Modrá šipka značí viditelnou dráhu meteoru.

static map
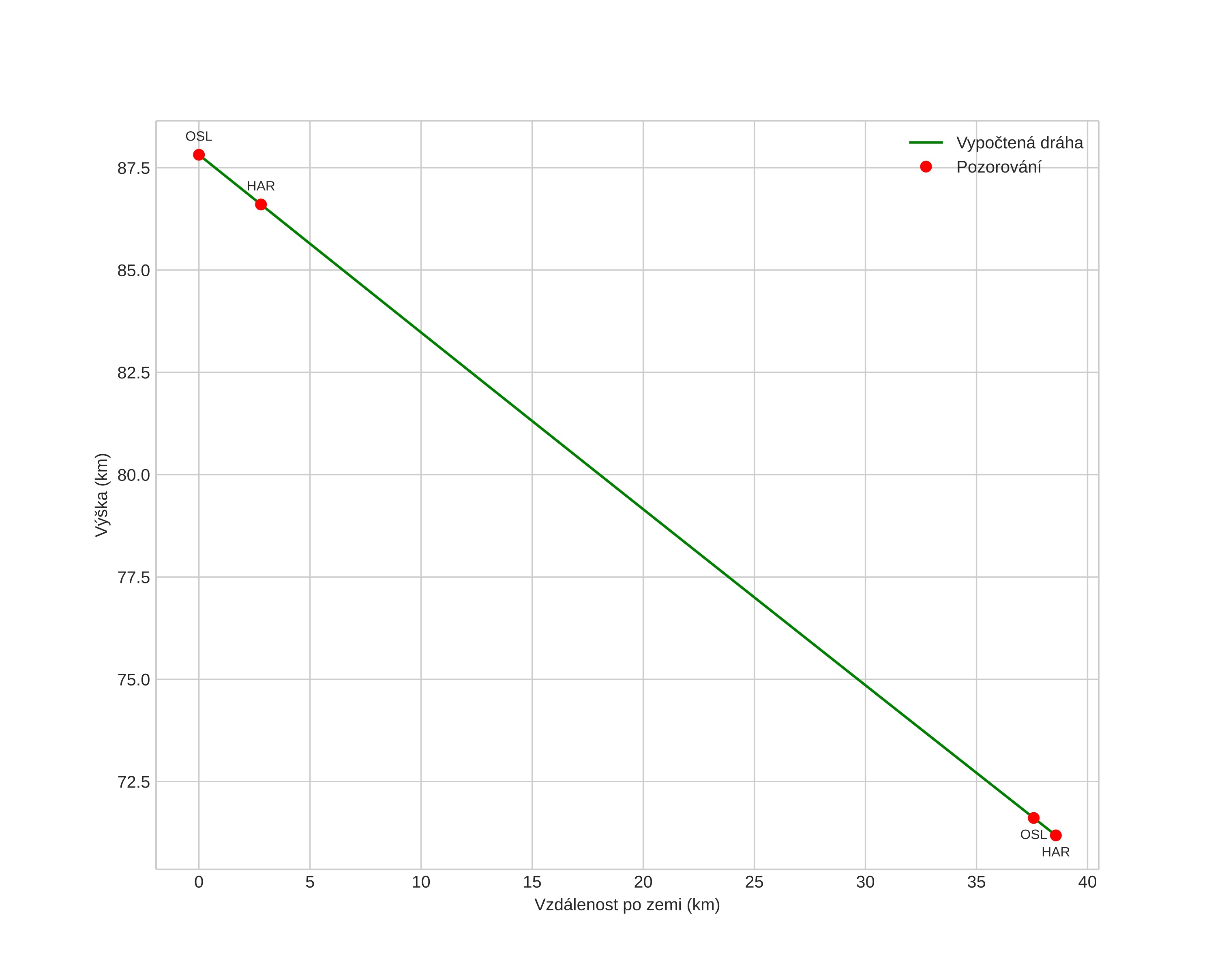
height profile
Atmosférická dráha meteoru:
Počáteční výška: 88,5 km
Konečná výška: 70,6 km
Počáteční poloha: 60,042N 9,357E
Konečná poloha: 60,265N 9,988E
Směr: 54,3°
Sklon: 22,7°
VstupnĂ­ rychlost: 19,3 km/s
Rektascenze radiantu: 19:14 (288,6°)
Deklinace radiantu: -3,2°
MeteorickĂ˝ roj: sporadickĂ˝
Elementy dráhy meteoroidu:
Vzdálenost v periheliu: 0,836 AU
Excentricita: 0,707
Sklon dráhy: 8,6°
Délka vzestupného uzlu: 130,2°
Argument perihelia: 234,9°
Střední anomálie: 352,4°
Epocha: 2019 AUG 03 01:21:36
orbit plot

NeinteraktivnĂ­ graf | InteraktivnĂ­ graf

position vs time
speed and acceleration