🇳🇴 🇬🇧 🇩🇪 🇨🇿 🇫🇮

Meteor Hønefossin yllä 2019-08-03 01:21:36 UTC

KML-tiedosto  |  Interaktiivinen kartta

Kartta näyttää meteorin suuntahavainnot. Vaaleammat viivat näyttävät suunnat havaintoasemilta meteorin ilmestyessä, ja tummemmat viivat näyttävät, missä se viimeksi nähtiin. Sininen nuoli näyttää meteorin näkyvän lennon.

static map
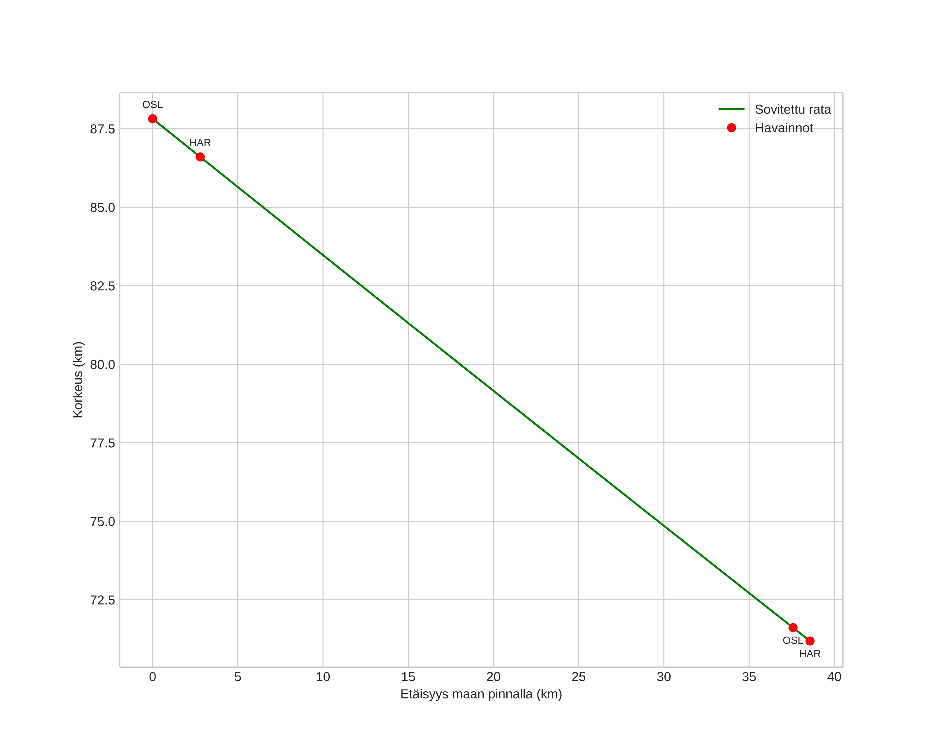
height profile
Meteorin ilmakehärata:
Alkukorkeus: 88,5 km
Loppukorkeus: 70,6 km
Alkupiste: 60,042N 9,357E
Loppupiste: 60,265N 9,988E
Suunta: 54,3°
Kallistuskulma: 22,7°
Tulonopeus: 19,3 km/s
Radiantin R,A,: 19:14 (288,6°)
Radiantin Dekl,: -3,2°
Meteoriparvi: Sporadinen
Meteoroidin rataelementit:
Perihelietäisyys: 0,836 AU
Eksentrisyys: 0,707
Inklinaatio: 8,6°
Nousevan solmun pituus: 130,2°
Perihelin argumentti: 234,9°
Keskianomalia: 352,4°
Epookki: 2019 AUG 03 01:21:36
orbit plot

Ei-interaktiivinen kuvaaja | Interaktiivinen kuvaaja

position vs time
speed and acceleration