🇳🇴 🇬🇧 🇩🇪 🇨🇿 🇫🇮

Meteor, poloha: Vikersund 2019-08-03 01:21:37 UTC

Soubor KML  |  InteraktivnĂ­ mapa

Mapa zobrazuje dráhy meteoru. Světlejší čáry ukazují směry od pozorovacích stanic při objevení se meteoru a tmavší čáry, kde byl naposledy viděn. Modrá šipka značí viditelnou dráhu meteoru.

static map
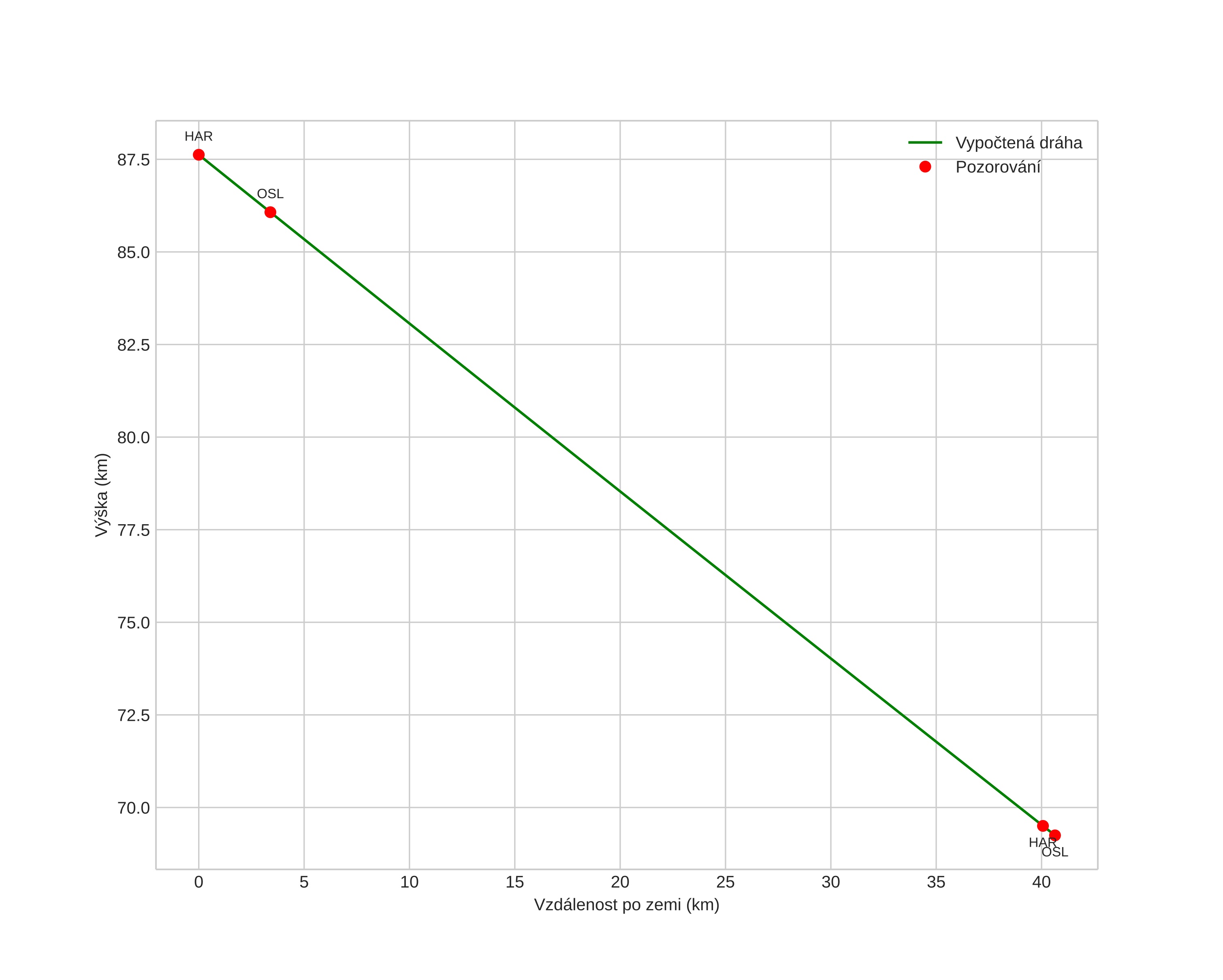
height profile
Atmosférická dráha meteoru:
Počáteční výška: 92,2 km
Konečná výška: 71,0 km
Počáteční poloha: 60,043N 9,303E
Konečná poloha: 60,263N 9,976E
Směr: 56,3°
Sklon: 25,4°
VstupnĂ­ rychlost: 21,0 km/s
Rektascenze radiantu: 19:14 (288,7°)
Deklinace radiantu: 1,6°
MeteorickĂ˝ roj: sporadickĂ˝
Elementy dráhy meteoroidu:
Vzdálenost v periheliu: 0,826 AU
Excentricita: 0,789
Sklon dráhy: 11,8°
Délka vzestupného uzlu: 130,2°
Argument perihelia: 234,7°
Střední anomálie: 355,4°
Epocha: 2019 AUG 03 01:21:37
orbit plot

NeinteraktivnĂ­ graf | InteraktivnĂ­ graf

position vs time
speed and acceleration