🇳🇴 🇬🇧 🇩🇪 🇨🇿 🇫🇮

Meteor Vikersundin yllä 2019-08-03 01:21:37 UTC

KML-tiedosto  |  Interaktiivinen kartta

Kartta näyttää meteorin suuntahavainnot. Vaaleammat viivat näyttävät suunnat havaintoasemilta meteorin ilmestyessä, ja tummemmat viivat näyttävät, missä se viimeksi nähtiin. Sininen nuoli näyttää meteorin näkyvän lennon.

static map
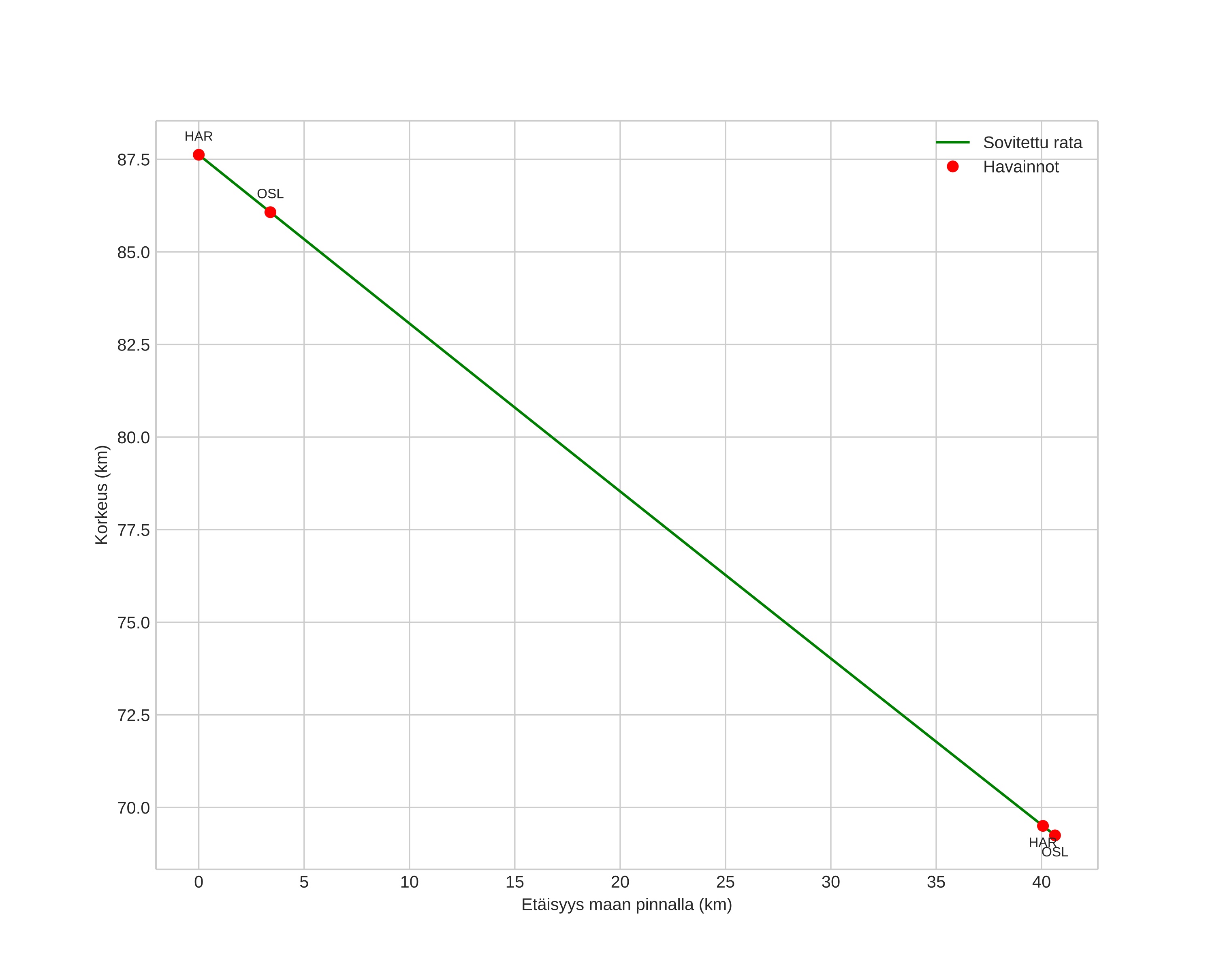
height profile
Meteorin ilmakehärata:
Alkukorkeus: 92,2 km
Loppukorkeus: 71,0 km
Alkupiste: 60,043N 9,303E
Loppupiste: 60,263N 9,976E
Suunta: 56,3°
Kallistuskulma: 25,4°
Tulonopeus: 21,0 km/s
Radiantin R,A,: 19:14 (288,7°)
Radiantin Dekl,: 1,6°
Meteoriparvi: Sporadinen
Meteoroidin rataelementit:
Perihelietäisyys: 0,826 AU
Eksentrisyys: 0,789
Inklinaatio: 11,8°
Nousevan solmun pituus: 130,2°
Perihelin argumentti: 234,7°
Keskianomalia: 355,4°
Epookki: 2019 AUG 03 01:21:37
orbit plot

Ei-interaktiivinen kuvaaja | Interaktiivinen kuvaaja

position vs time
speed and acceleration