🇳🇴 🇬🇧 🇩🇪 🇨🇿 🇫🇮

Meteor, poloha: Egersund 2019-08-08 21:05:12 UTC

Soubor KML  |  InteraktivnĂ­ mapa

Mapa zobrazuje dráhy meteoru. Světlejší čáry ukazují směry od pozorovacích stanic při objevení se meteoru a tmavší čáry, kde byl naposledy viděn. Modrá šipka značí viditelnou dráhu meteoru.

static map
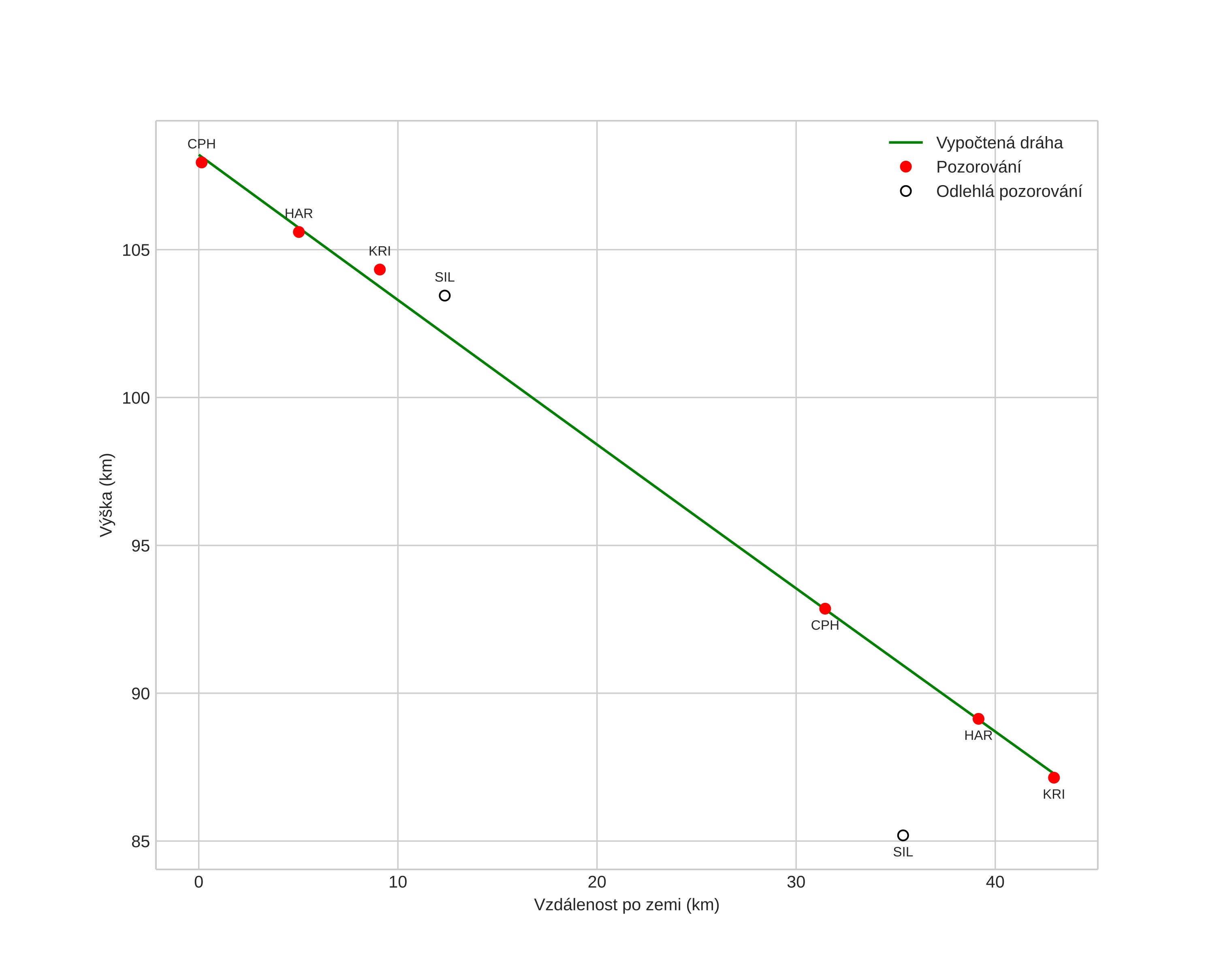
height profile
Atmosférická dráha meteoru:
Počáteční výška: 108,0 km
Konečná výška: 89,1 km
Počáteční poloha: 58,133N 6,263E
Konečná poloha: 57,844N 5,883E
Směr: 215,0°
Sklon: 25,8°
VstupnĂ­ rychlost: 65,7 km/s
Rektascenze radiantu: 03:09 (47,3°)
Deklinace radiantu: 48,9°
MeteorickĂ˝ roj: Perseidy
Elementy dráhy meteoroidu:
Vzdálenost v periheliu: 0,930 AU
Excentricita: 1,088
Sklon dráhy: 127,9°
Délka vzestupného uzlu: 135,8°
Argument perihelia: 147,3°
Střední anomálie: 0,6°
Epocha: 2019 AUG 08 21:05:12
orbit plot

NeinteraktivnĂ­ graf | InteraktivnĂ­ graf

position vs time
speed and acceleration