🇳🇴 🇬🇧 🇩🇪 🇨🇿 🇫🇮

Meteor Egersundin yllä 2019-08-08 21:05:12 UTC

KML-tiedosto  |  Interaktiivinen kartta

Kartta näyttää meteorin suuntahavainnot. Vaaleammat viivat näyttävät suunnat havaintoasemilta meteorin ilmestyessä, ja tummemmat viivat näyttävät, missä se viimeksi nähtiin. Sininen nuoli näyttää meteorin näkyvän lennon.

static map
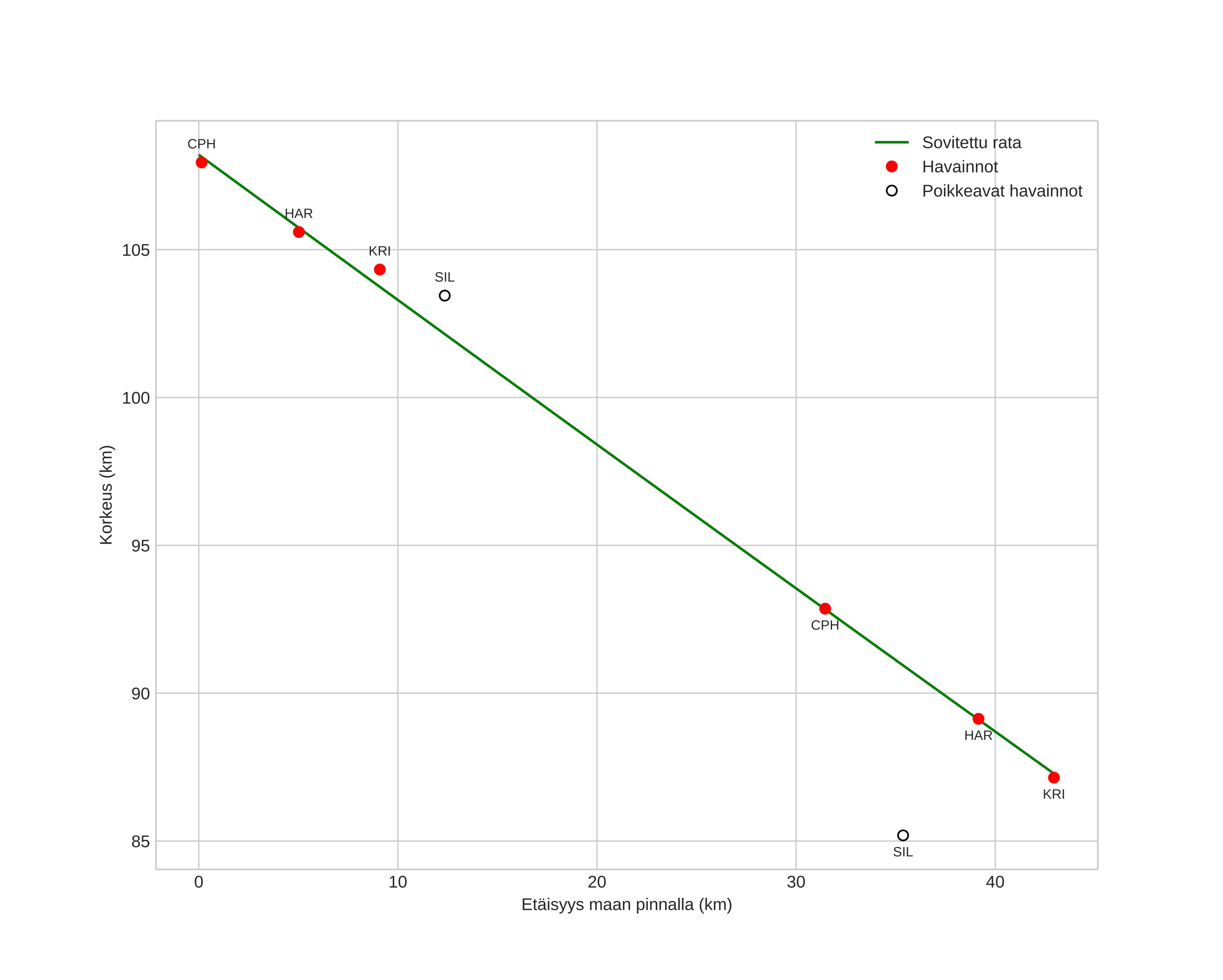
height profile
Meteorin ilmakehärata:
Alkukorkeus: 108,0 km
Loppukorkeus: 89,1 km
Alkupiste: 58,133N 6,263E
Loppupiste: 57,844N 5,883E
Suunta: 215,0°
Kallistuskulma: 25,8°
Tulonopeus: 65,7 km/s
Radiantin R,A,: 03:09 (47,3°)
Radiantin Dekl,: 48,9°
Meteoriparvi: Perseidit
Meteoroidin rataelementit:
Perihelietäisyys: 0,930 AU
Eksentrisyys: 1,088
Inklinaatio: 127,9°
Nousevan solmun pituus: 135,8°
Perihelin argumentti: 147,3°
Keskianomalia: 0,6°
Epookki: 2019 AUG 08 21:05:12
orbit plot

Ei-interaktiivinen kuvaaja | Interaktiivinen kuvaaja

position vs time
speed and acceleration