🇳🇴 🇬🇧 🇩🇪 🇨🇿 🇫🇮

Meteor, poloha: Färgelanda 2019-08-08 21:47:19 UTC

Soubor KML  |  InteraktivnĂ­ mapa

Mapa zobrazuje dráhy meteoru. Světlejší čáry ukazují směry od pozorovacích stanic při objevení se meteoru a tmavší čáry, kde byl naposledy viděn. Modrá šipka značí viditelnou dráhu meteoru.

static map
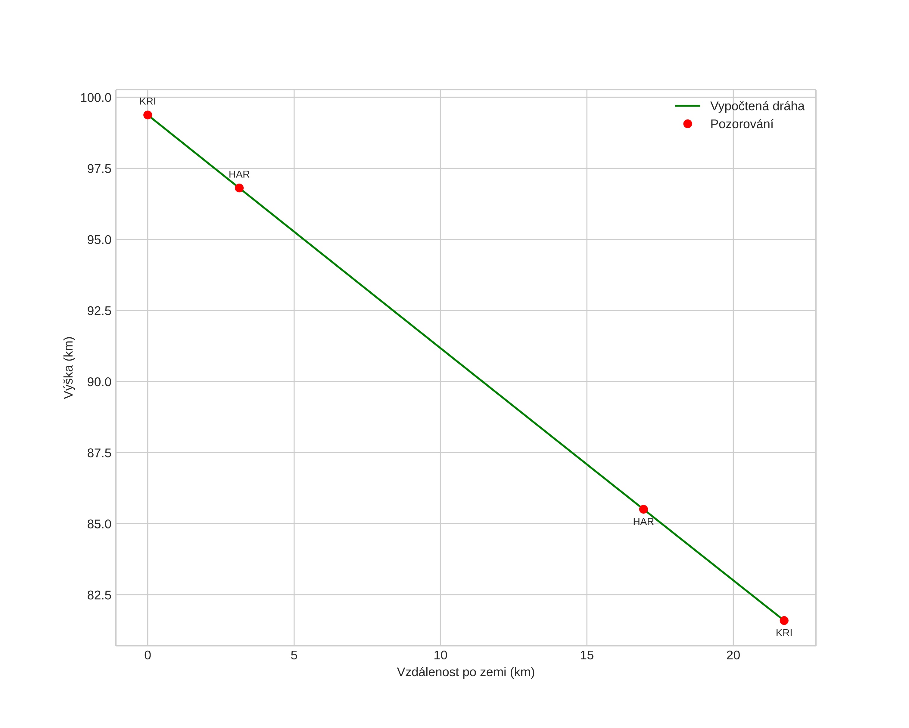
height profile
Atmosférická dráha meteoru:
Počáteční výška: 106,4 km
Konečná výška: 83,2 km
Počáteční poloha: 58,675N 12,354E
Konečná poloha: 58,488N 12,029E
Směr: 222,4°
Sklon: 39,6°
VstupnĂ­ rychlost: 73,0 km/s
Rektascenze radiantu: 02:50 (42,7°)
Deklinace radiantu: 57,0°
MeteorickĂ˝ roj: sporadickĂ˝
Elementy dráhy meteoroidu:
Vzdálenost v periheliu: 0,970 AU
Excentricita: 2,171
Sklon dráhy: 119,6°
Délka vzestupného uzlu: 135,8°
Argument perihelia: 159,6°
Střední anomálie: 15,0°
Epocha: 2019 AUG 08 21:47:19
orbit plot

NeinteraktivnĂ­ graf | InteraktivnĂ­ graf

position vs time
speed and acceleration