🇳🇴 🇬🇧 🇩🇪 🇨🇿 🇫🇮

Meteor Färgelandan yllä 2019-08-08 21:47:19 UTC

KML-tiedosto  |  Interaktiivinen kartta

Kartta näyttää meteorin suuntahavainnot. Vaaleammat viivat näyttävät suunnat havaintoasemilta meteorin ilmestyessä, ja tummemmat viivat näyttävät, missä se viimeksi nähtiin. Sininen nuoli näyttää meteorin näkyvän lennon.

static map
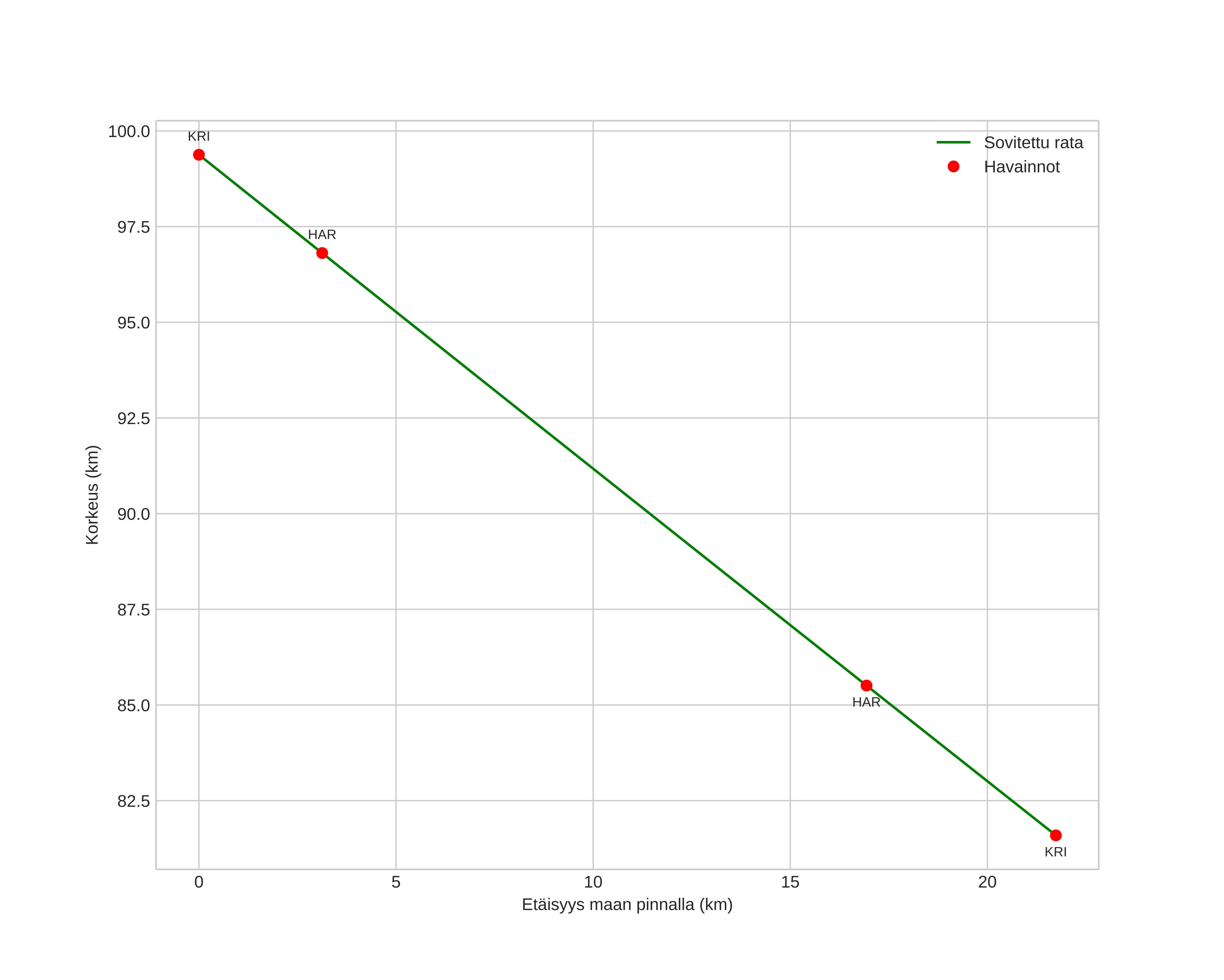
height profile
Meteorin ilmakehärata:
Alkukorkeus: 106,4 km
Loppukorkeus: 83,2 km
Alkupiste: 58,675N 12,354E
Loppupiste: 58,488N 12,029E
Suunta: 222,4°
Kallistuskulma: 39,6°
Tulonopeus: 73,0 km/s
Radiantin R,A,: 02:50 (42,7°)
Radiantin Dekl,: 57,0°
Meteoriparvi: Sporadinen
Meteoroidin rataelementit:
Perihelietäisyys: 0,970 AU
Eksentrisyys: 2,171
Inklinaatio: 119,6°
Nousevan solmun pituus: 135,8°
Perihelin argumentti: 159,6°
Keskianomalia: 15,0°
Epookki: 2019 AUG 08 21:47:19
orbit plot

Ei-interaktiivinen kuvaaja | Interaktiivinen kuvaaja

position vs time
speed and acceleration