🇳🇴 🇬🇧 🇩🇪 🇨🇿 🇫🇮

Meteor Kongsvingerin yllä 2019-08-12 21:44:25 UTC

KML-tiedosto  |  Interaktiivinen kartta

Kartta näyttää meteorin suuntahavainnot. Vaaleammat viivat näyttävät suunnat havaintoasemilta meteorin ilmestyessä, ja tummemmat viivat näyttävät, missä se viimeksi nähtiin. Sininen nuoli näyttää meteorin näkyvän lennon.

static map
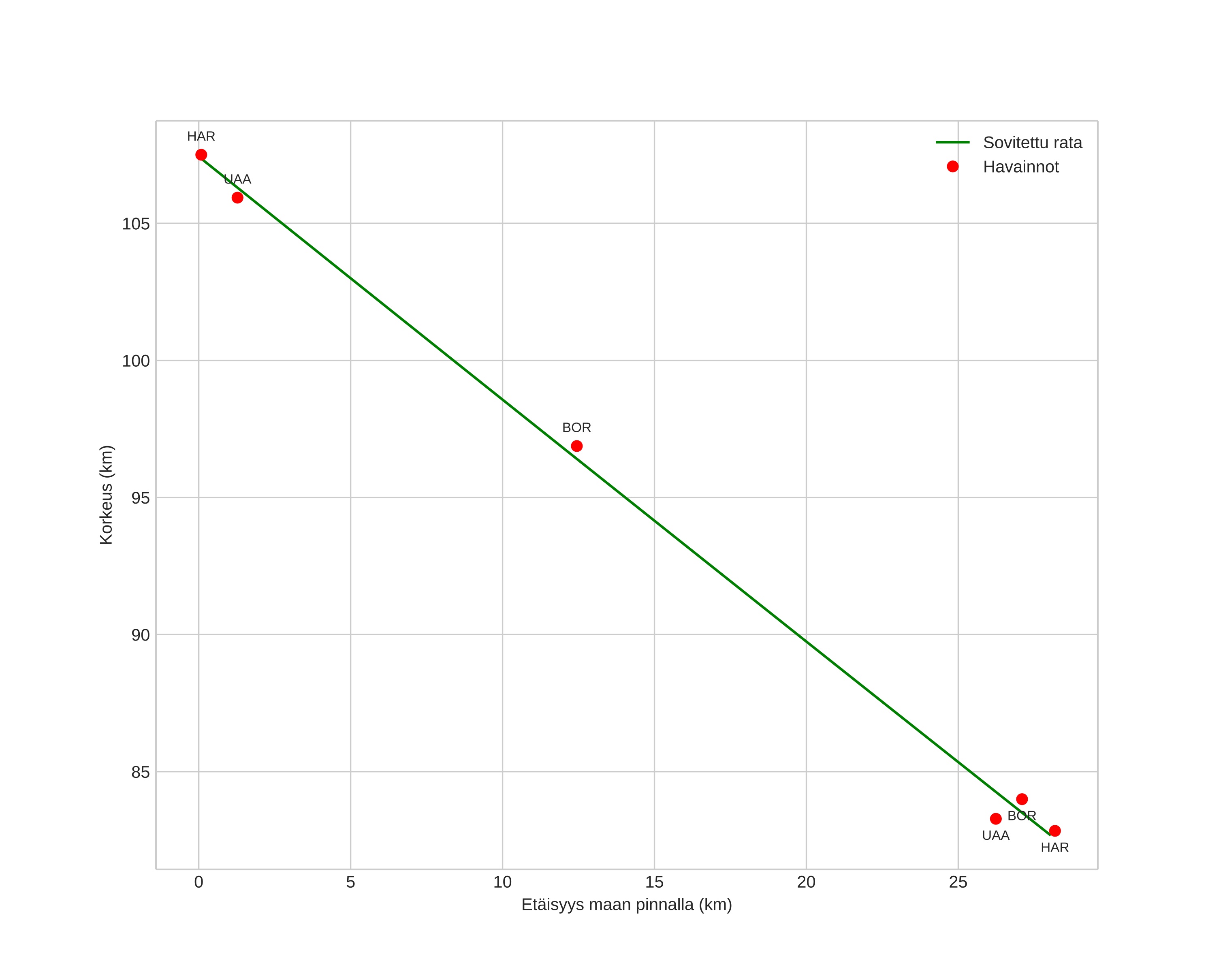
height profile
Meteorin ilmakehärata:
Alkukorkeus: 107,4 km
Loppukorkeus: 82,7 km
Alkupiste: 60,506N 12,297E
Loppupiste: 60,312N 11,972E
Suunta: 219,7°
Kallistuskulma: 41,4°
Tulonopeus: 56,0 km/s
Radiantin R,A,: 03:19 (49,9°)
Radiantin Dekl,: 59,0°
Meteoriparvi: Perseidit
Meteoroidin rataelementit:
Perihelietäisyys: 0,912 AU
Eksentrisyys: 0,680
Inklinaatio: 108,8°
Nousevan solmun pituus: 139,6°
Perihelin argumentti: 138,9°
Keskianomalia: 6,2°
Epookki: 2019 AUG 12 21:44:25
orbit plot

Ei-interaktiivinen kuvaaja | Interaktiivinen kuvaaja

position vs time
speed and acceleration