🇳🇴 🇬🇧 🇩🇪 🇨🇿 🇫🇮

Meteor, poloha: Oksbøl 2019-08-13 21:20:56 UTC

Soubor KML  |  InteraktivnĂ­ mapa

Mapa zobrazuje dráhy meteoru. Světlejší čáry ukazují směry od pozorovacích stanic při objevení se meteoru a tmavší čáry, kde byl naposledy viděn. Modrá šipka značí viditelnou dráhu meteoru.

static map
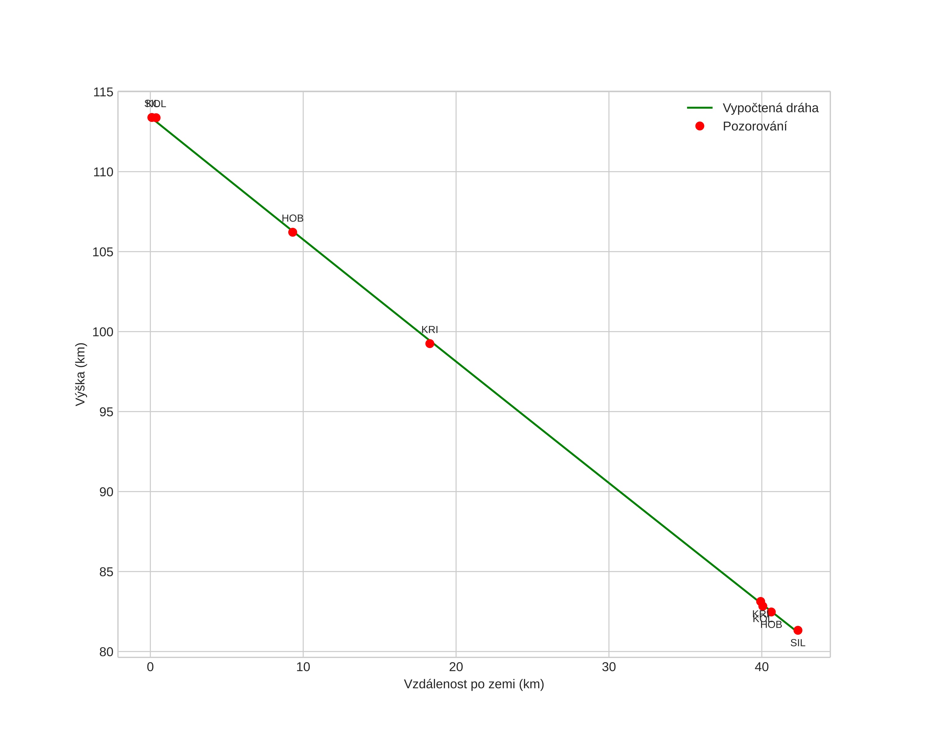
height profile
Atmosférická dráha meteoru:
Počáteční výška: 113,4 km
Konečná výška: 81,1 km
Počáteční poloha: 55,727N 7,831E
Konečná poloha: 55,411N 7,463E
Směr: 213,5°
Sklon: 37,5°
VstupnĂ­ rychlost: 60,0 km/s
Rektascenze radiantu: 03:01 (45,3°)
Deklinace radiantu: 60,9°
MeteorickĂ˝ roj: Perseidy
Elementy dráhy meteoroidu:
Vzdálenost v periheliu: 0,969 AU
Excentricita: 1,042
Sklon dráhy: 109,2°
Délka vzestupného uzlu: 140,6°
Argument perihelia: 156,0°
Střední anomálie: 0,1°
Epocha: 2019 AUG 13 21:20:56
orbit plot

NeinteraktivnĂ­ graf | InteraktivnĂ­ graf

position vs time
speed and acceleration