🇳🇴 🇬🇧 🇩🇪 🇨🇿 🇫🇮

Meteor Oksbølin yllä 2019-08-13 21:20:56 UTC

KML-tiedosto  |  Interaktiivinen kartta

Kartta näyttää meteorin suuntahavainnot. Vaaleammat viivat näyttävät suunnat havaintoasemilta meteorin ilmestyessä, ja tummemmat viivat näyttävät, missä se viimeksi nähtiin. Sininen nuoli näyttää meteorin näkyvän lennon.

static map
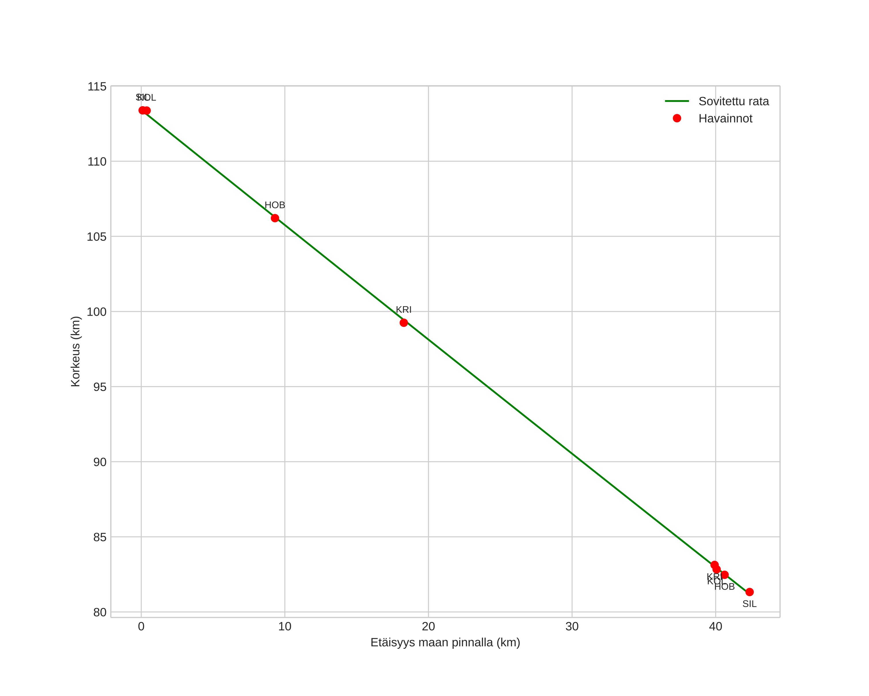
height profile
Meteorin ilmakehärata:
Alkukorkeus: 113,4 km
Loppukorkeus: 81,1 km
Alkupiste: 55,727N 7,831E
Loppupiste: 55,411N 7,463E
Suunta: 213,5°
Kallistuskulma: 37,5°
Tulonopeus: 60,0 km/s
Radiantin R,A,: 03:01 (45,3°)
Radiantin Dekl,: 60,9°
Meteoriparvi: Perseidit
Meteoroidin rataelementit:
Perihelietäisyys: 0,969 AU
Eksentrisyys: 1,042
Inklinaatio: 109,2°
Nousevan solmun pituus: 140,6°
Perihelin argumentti: 156,0°
Keskianomalia: 0,1°
Epookki: 2019 AUG 13 21:20:56
orbit plot

Ei-interaktiivinen kuvaaja | Interaktiivinen kuvaaja

position vs time
speed and acceleration