🇳🇴 🇬🇧 🇩🇪 🇨🇿 🇫🇮

Meteor, poloha: Vik 2019-08-15 01:24:04 UTC

Soubor KML  |  InteraktivnĂ­ mapa

Mapa zobrazuje dráhy meteoru. Světlejší čáry ukazují směry od pozorovacích stanic při objevení se meteoru a tmavší čáry, kde byl naposledy viděn. Modrá šipka značí viditelnou dráhu meteoru.

static map
height profile
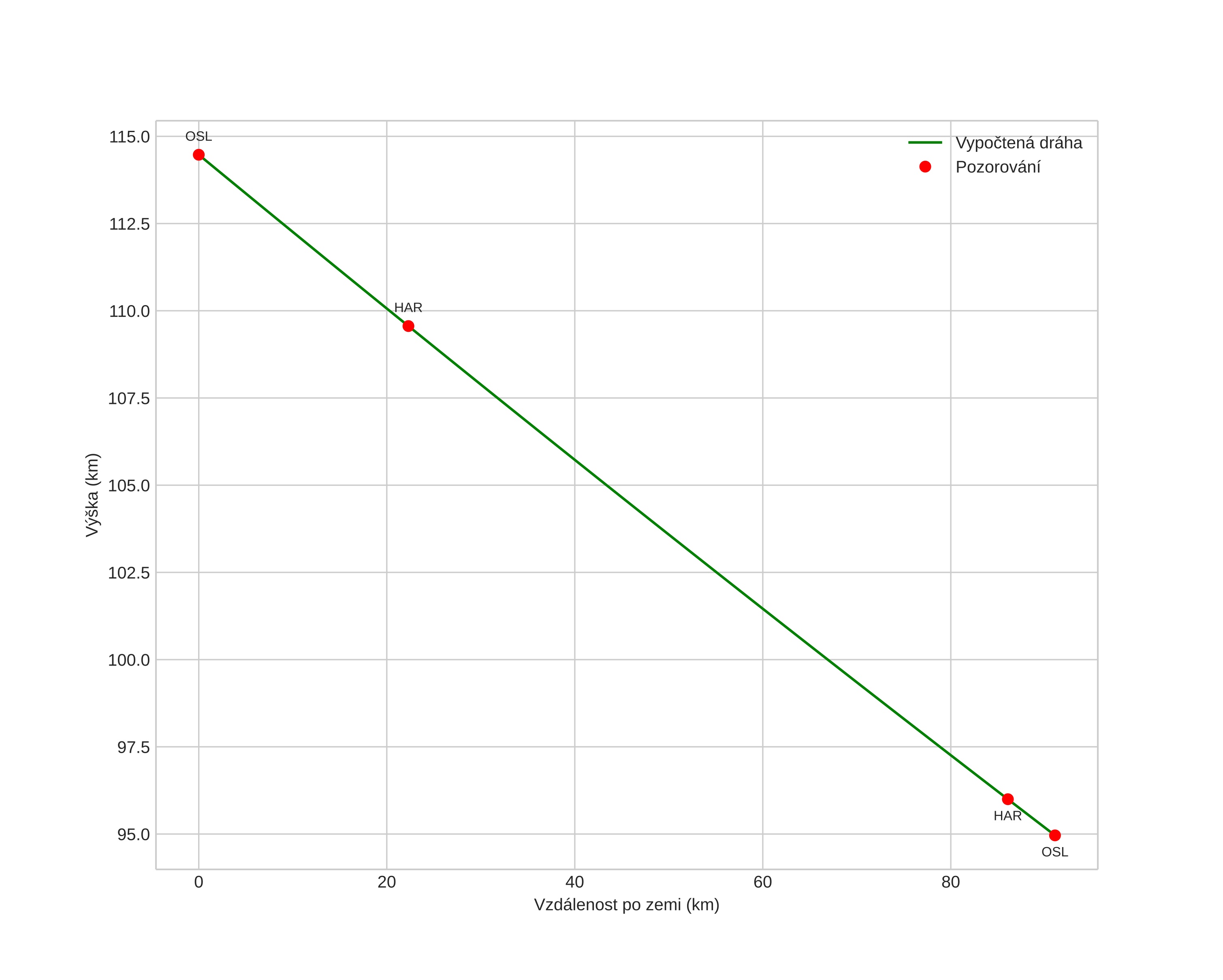
Atmosférická dráha meteoru:
Počáteční výška: 107,2 km
Konečná výška: 97,8 km
Počáteční poloha: 59,771N 11,053E
Konečná poloha: 60,055N 10,327E
Směr: 308,3°
Sklon: 10,4°
VstupnĂ­ rychlost: 68,7 km/s
Rektascenze radiantu: 03:05 (46,4°)
Deklinace radiantu: -9,4°
MeteorickĂ˝ roj: sporadickĂ˝
Elementy dráhy meteoroidu:
Vzdálenost v periheliu: 0,947 AU
Excentricita: 1,183
Sklon dráhy: 136,1°
Délka vzestupného uzlu: 321,7°
Argument perihelia: 28,3°
Střední anomálie: -1,6°
Epocha: 2019 AUG 15 01:24:04
orbit plot

NeinteraktivnĂ­ graf | InteraktivnĂ­ graf

position vs time
speed and acceleration