🇳🇴 🇬🇧 🇩🇪 🇨🇿 🇫🇮

Meteor Vikin yllä 2019-08-15 01:24:04 UTC

KML-tiedosto  |  Interaktiivinen kartta

Kartta näyttää meteorin suuntahavainnot. Vaaleammat viivat näyttävät suunnat havaintoasemilta meteorin ilmestyessä, ja tummemmat viivat näyttävät, missä se viimeksi nähtiin. Sininen nuoli näyttää meteorin näkyvän lennon.

static map
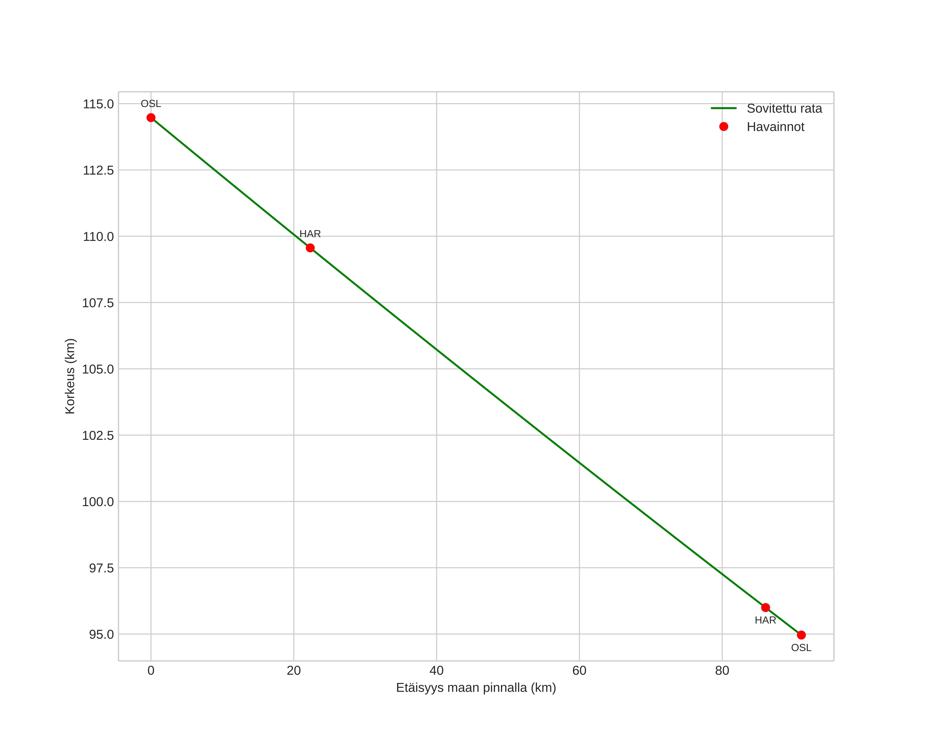
height profile
Meteorin ilmakehärata:
Alkukorkeus: 107,2 km
Loppukorkeus: 97,8 km
Alkupiste: 59,771N 11,053E
Loppupiste: 60,055N 10,327E
Suunta: 308,3°
Kallistuskulma: 10,4°
Tulonopeus: 68,7 km/s
Radiantin R,A,: 03:05 (46,4°)
Radiantin Dekl,: -9,4°
Meteoriparvi: Sporadinen
Meteoroidin rataelementit:
Perihelietäisyys: 0,947 AU
Eksentrisyys: 1,183
Inklinaatio: 136,1°
Nousevan solmun pituus: 321,7°
Perihelin argumentti: 28,3°
Keskianomalia: -1,6°
Epookki: 2019 AUG 15 01:24:04
orbit plot

Ei-interaktiivinen kuvaaja | Interaktiivinen kuvaaja

position vs time
speed and acceleration