🇳🇴 🇬🇧 🇩🇪 🇨🇿 🇫🇮

Meteor, poloha: Arvika 2019-08-15 01:42:01 UTC

Soubor KML  |  InteraktivnĂ­ mapa

Mapa zobrazuje dráhy meteoru. Světlejší čáry ukazují směry od pozorovacích stanic při objevení se meteoru a tmavší čáry, kde byl naposledy viděn. Modrá šipka značí viditelnou dráhu meteoru.

static map
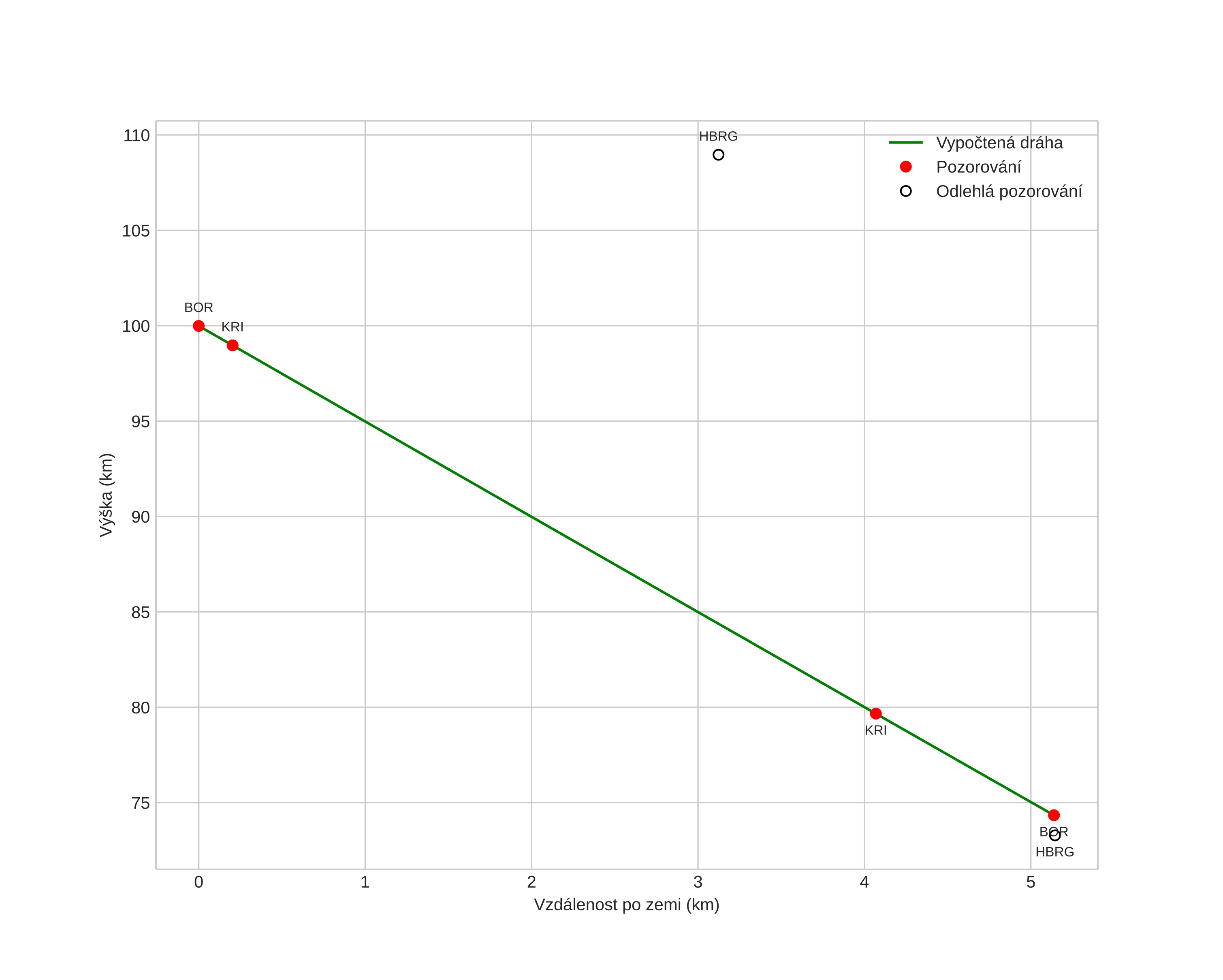
height profile
Atmosférická dráha meteoru:
Počáteční výška: 99,9 km
Konečná výška: 72,5 km
Počáteční poloha: 59,822N 12,854E
Konečná poloha: 59,835N 12,789E
Směr: 291,0°
Sklon: 81,9°
VstupnĂ­ rychlost: 46,8 km/s
Rektascenze radiantu: 00:58 (14,5°)
Deklinace radiantu: 55,9°
MeteorickĂ˝ roj: sporadickĂ˝
Elementy dráhy meteoroidu:
Vzdálenost v periheliu: 0,911 AU
Excentricita: 0,301
Sklon dráhy: 94,0°
Délka vzestupného uzlu: 141,7°
Argument perihelia: 235,4°
Střední anomálie: 329,5°
Epocha: 2019 AUG 15 01:42:01
orbit plot

NeinteraktivnĂ­ graf | InteraktivnĂ­ graf

position vs time
speed and acceleration