🇳🇴 🇬🇧 🇩🇪 🇨🇿 🇫🇮

Meteor Arvikan yllä 2019-08-15 01:42:01 UTC

KML-tiedosto  |  Interaktiivinen kartta

Kartta näyttää meteorin suuntahavainnot. Vaaleammat viivat näyttävät suunnat havaintoasemilta meteorin ilmestyessä, ja tummemmat viivat näyttävät, missä se viimeksi nähtiin. Sininen nuoli näyttää meteorin näkyvän lennon.

static map
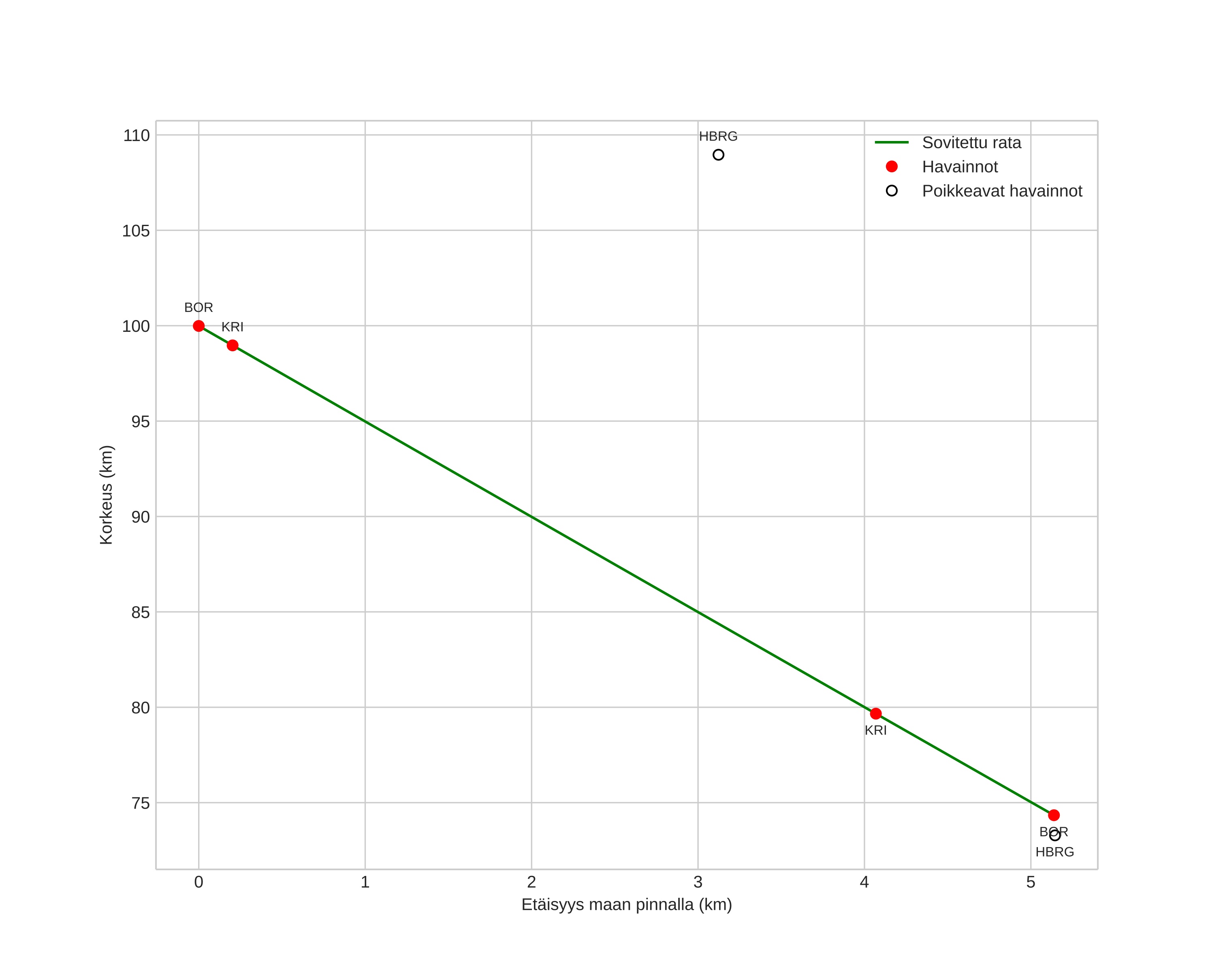
height profile
Meteorin ilmakehärata:
Alkukorkeus: 99,9 km
Loppukorkeus: 72,5 km
Alkupiste: 59,822N 12,854E
Loppupiste: 59,835N 12,789E
Suunta: 291,0°
Kallistuskulma: 81,9°
Tulonopeus: 46,8 km/s
Radiantin R,A,: 00:58 (14,5°)
Radiantin Dekl,: 55,9°
Meteoriparvi: Sporadinen
Meteoroidin rataelementit:
Perihelietäisyys: 0,911 AU
Eksentrisyys: 0,301
Inklinaatio: 94,0°
Nousevan solmun pituus: 141,7°
Perihelin argumentti: 235,4°
Keskianomalia: 329,5°
Epookki: 2019 AUG 15 01:42:01
orbit plot

Ei-interaktiivinen kuvaaja | Interaktiivinen kuvaaja

position vs time
speed and acceleration