🇳🇴 🇬🇧 🇩🇪 🇨🇿 🇫🇮

Meteor, poloha: Lidköping 2019-08-23 22:27:44 UTC

Soubor KML  |  InteraktivnĂ­ mapa

Mapa zobrazuje dráhy meteoru. Světlejší čáry ukazují směry od pozorovacích stanic při objevení se meteoru a tmavší čáry, kde byl naposledy viděn. Modrá šipka značí viditelnou dráhu meteoru.

static map
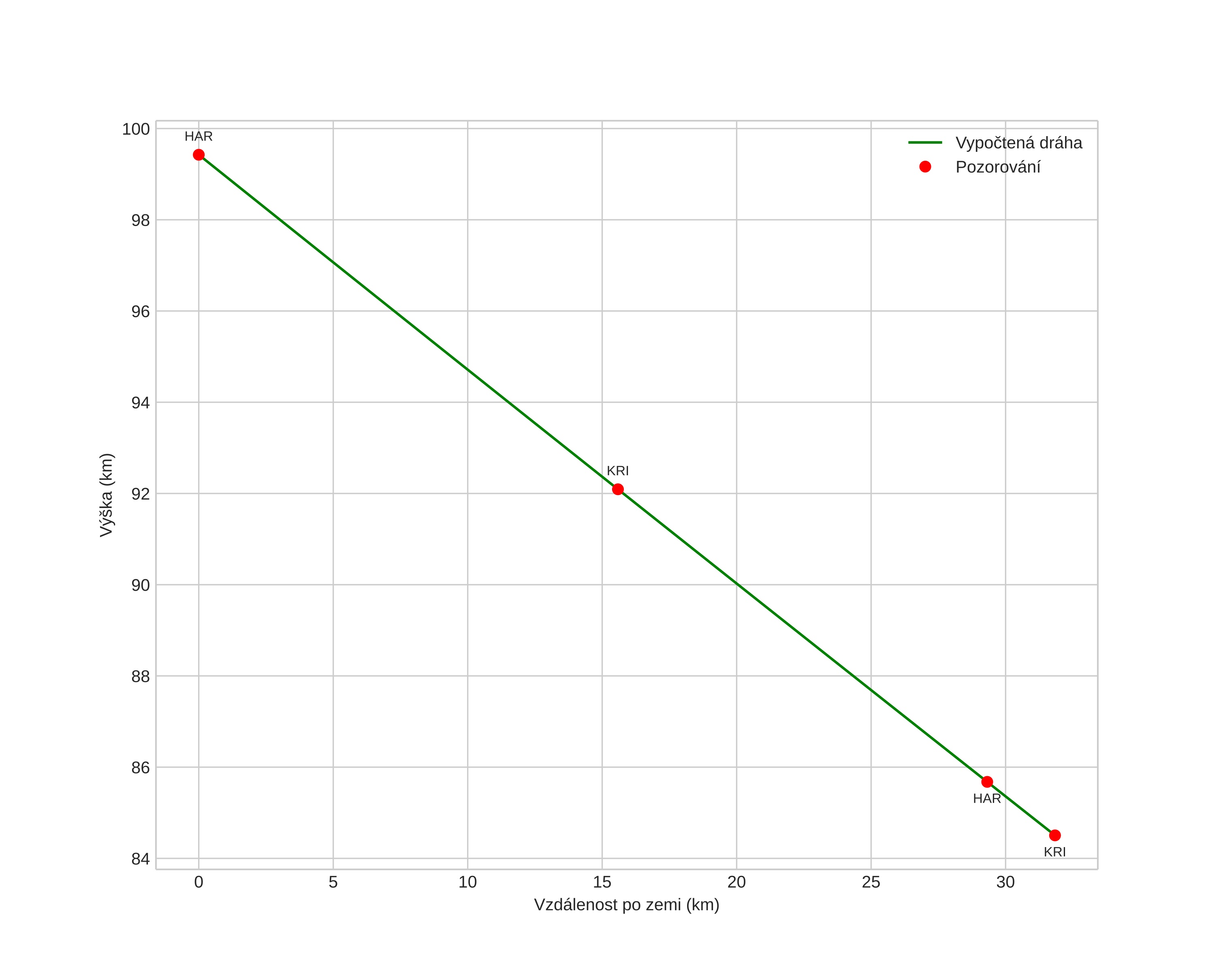
height profile
Atmosférická dráha meteoru:
Počáteční výška: 100,7 km
Konečná výška: 85,6 km
Počáteční poloha: 59,034N 13,259E
Konečná poloha: 58,747N 13,179E
Směr: 188,3°
Sklon: 25,1°
VstupnĂ­ rychlost: 47,8 km/s
Rektascenze radiantu: 08:36 (129,1°)
Deklinace radiantu: 54,7°
MeteorickĂ˝ roj: sporadickĂ˝
Elementy dráhy meteoroidu:
Vzdálenost v periheliu: 0,444 AU
Excentricita: 0,997
Sklon dráhy: 72,9°
Délka vzestupného uzlu: 150,2°
Argument perihelia: 82,9°
Střední anomálie: 0,0°
Epocha: 2019 AUG 23 22:27:44
orbit plot

NeinteraktivnĂ­ graf | InteraktivnĂ­ graf

position vs time
speed and acceleration