🇳🇴 🇬🇧 🇩🇪 🇨🇿 🇫🇮

Meteor Lidköpingin yllä 2019-08-23 22:27:44 UTC

KML-tiedosto  |  Interaktiivinen kartta

Kartta näyttää meteorin suuntahavainnot. Vaaleammat viivat näyttävät suunnat havaintoasemilta meteorin ilmestyessä, ja tummemmat viivat näyttävät, missä se viimeksi nähtiin. Sininen nuoli näyttää meteorin näkyvän lennon.

static map
height profile
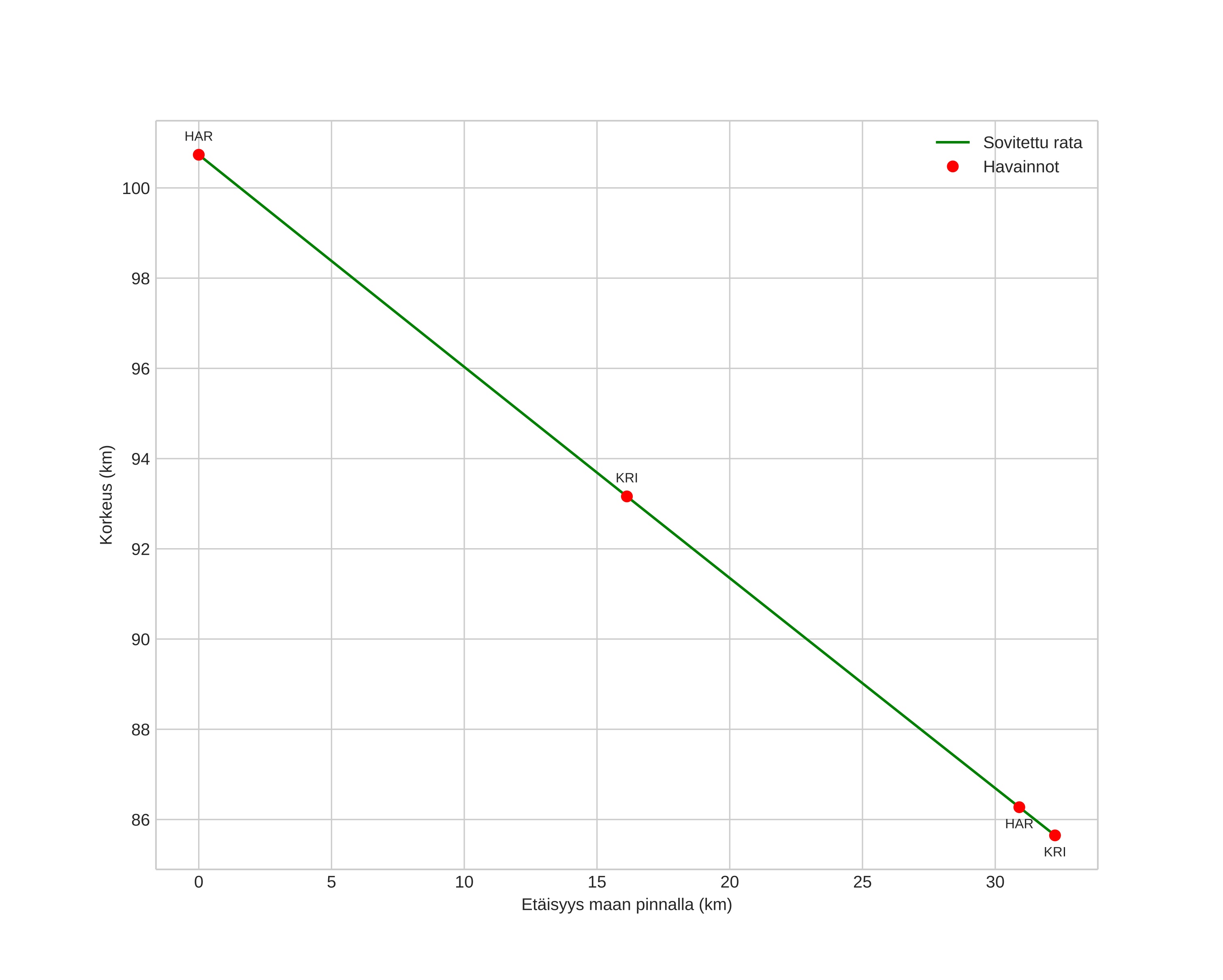
Meteorin ilmakehärata:
Alkukorkeus: 100,7 km
Loppukorkeus: 85,6 km
Alkupiste: 59,034N 13,259E
Loppupiste: 58,747N 13,179E
Suunta: 188,3°
Kallistuskulma: 25,1°
Tulonopeus: 47,8 km/s
Radiantin R,A,: 08:36 (129,1°)
Radiantin Dekl,: 54,7°
Meteoriparvi: Sporadinen
Meteoroidin rataelementit:
Perihelietäisyys: 0,444 AU
Eksentrisyys: 0,997
Inklinaatio: 72,9°
Nousevan solmun pituus: 150,2°
Perihelin argumentti: 82,9°
Keskianomalia: 0,0°
Epookki: 2019 AUG 23 22:27:44
orbit plot

Ei-interaktiivinen kuvaaja | Interaktiivinen kuvaaja

position vs time
speed and acceleration