🇳🇴 🇬🇧 🇩🇪 🇨🇿 🇫🇮

Meteor, poloha: Løkken 2019-08-24 00:09:00 UTC

Soubor KML  |  InteraktivnĂ­ mapa

Mapa zobrazuje dráhy meteoru. Světlejší čáry ukazují směry od pozorovacích stanic při objevení se meteoru a tmavší čáry, kde byl naposledy viděn. Modrá šipka značí viditelnou dráhu meteoru.

static map
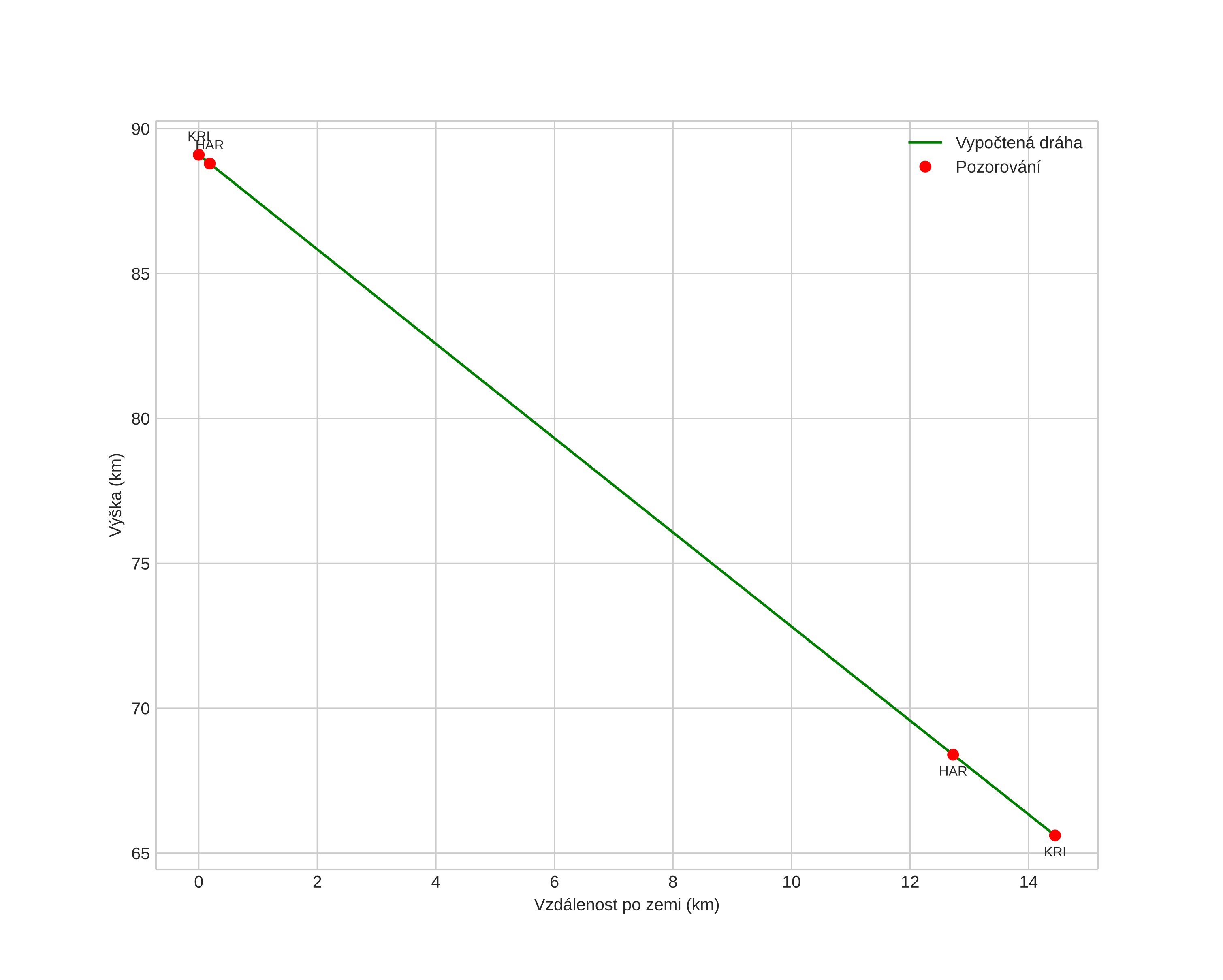
height profile
Atmosférická dráha meteoru:
Počáteční výška: 91,7 km
Konečná výška: 66,8 km
Počáteční poloha: 57,814N 9,293E
Konečná poloha: 57,720N 9,498E
Směr: 130,4°
Sklon: 57,2°
VstupnĂ­ rychlost: 24,2 km/s
Rektascenze radiantu: 17:57 (269,3°)
Deklinace radiantu: 62,5°
MeteorickĂ˝ roj: Kappa Cygnidy
Elementy dráhy meteoroidu:
Vzdálenost v periheliu: 1,010 AU
Excentricita: 0,613
Sklon dráhy: 34,9°
Délka vzestupného uzlu: 150,3°
Argument perihelia: 184,0°
Střední anomálie: 359,2°
Epocha: 2019 AUG 24 00:09:00
orbit plot

NeinteraktivnĂ­ graf | InteraktivnĂ­ graf

position vs time
speed and acceleration