🇳🇴 🇬🇧 🇩🇪 🇨🇿 🇫🇮

Meteor Løkkenin yllä 2019-08-24 00:09:00 UTC

KML-tiedosto  |  Interaktiivinen kartta

Kartta näyttää meteorin suuntahavainnot. Vaaleammat viivat näyttävät suunnat havaintoasemilta meteorin ilmestyessä, ja tummemmat viivat näyttävät, missä se viimeksi nähtiin. Sininen nuoli näyttää meteorin näkyvän lennon.

static map
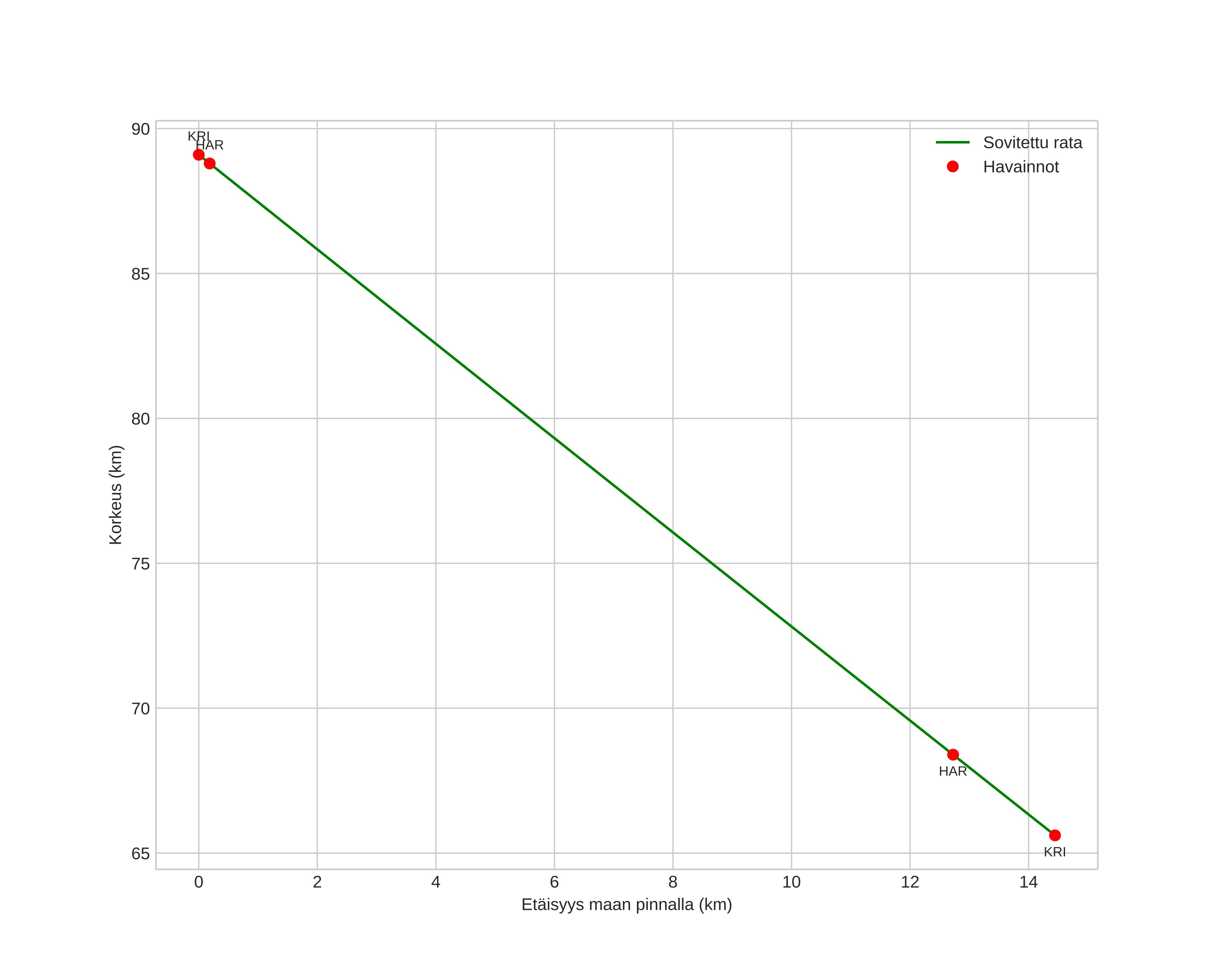
height profile
Meteorin ilmakehärata:
Alkukorkeus: 91,7 km
Loppukorkeus: 66,8 km
Alkupiste: 57,814N 9,293E
Loppupiste: 57,720N 9,498E
Suunta: 130,4°
Kallistuskulma: 57,2°
Tulonopeus: 24,2 km/s
Radiantin R,A,: 17:57 (269,3°)
Radiantin Dekl,: 62,5°
Meteoriparvi: Kappa-sygnidit
Meteoroidin rataelementit:
Perihelietäisyys: 1,010 AU
Eksentrisyys: 0,613
Inklinaatio: 34,9°
Nousevan solmun pituus: 150,3°
Perihelin argumentti: 184,0°
Keskianomalia: 359,2°
Epookki: 2019 AUG 24 00:09:00
orbit plot

Ei-interaktiivinen kuvaaja | Interaktiivinen kuvaaja

position vs time
speed and acceleration