🇳🇴 🇬🇧 🇩🇪 🇨🇿 🇫🇮

Meteor, poloha: Bismo 2019-09-01 23:03:49 UTC

Soubor KML  |  InteraktivnĂ­ mapa

Mapa zobrazuje dráhy meteoru. Světlejší čáry ukazují směry od pozorovacích stanic při objevení se meteoru a tmavší čáry, kde byl naposledy viděn. Modrá šipka značí viditelnou dráhu meteoru.

static map
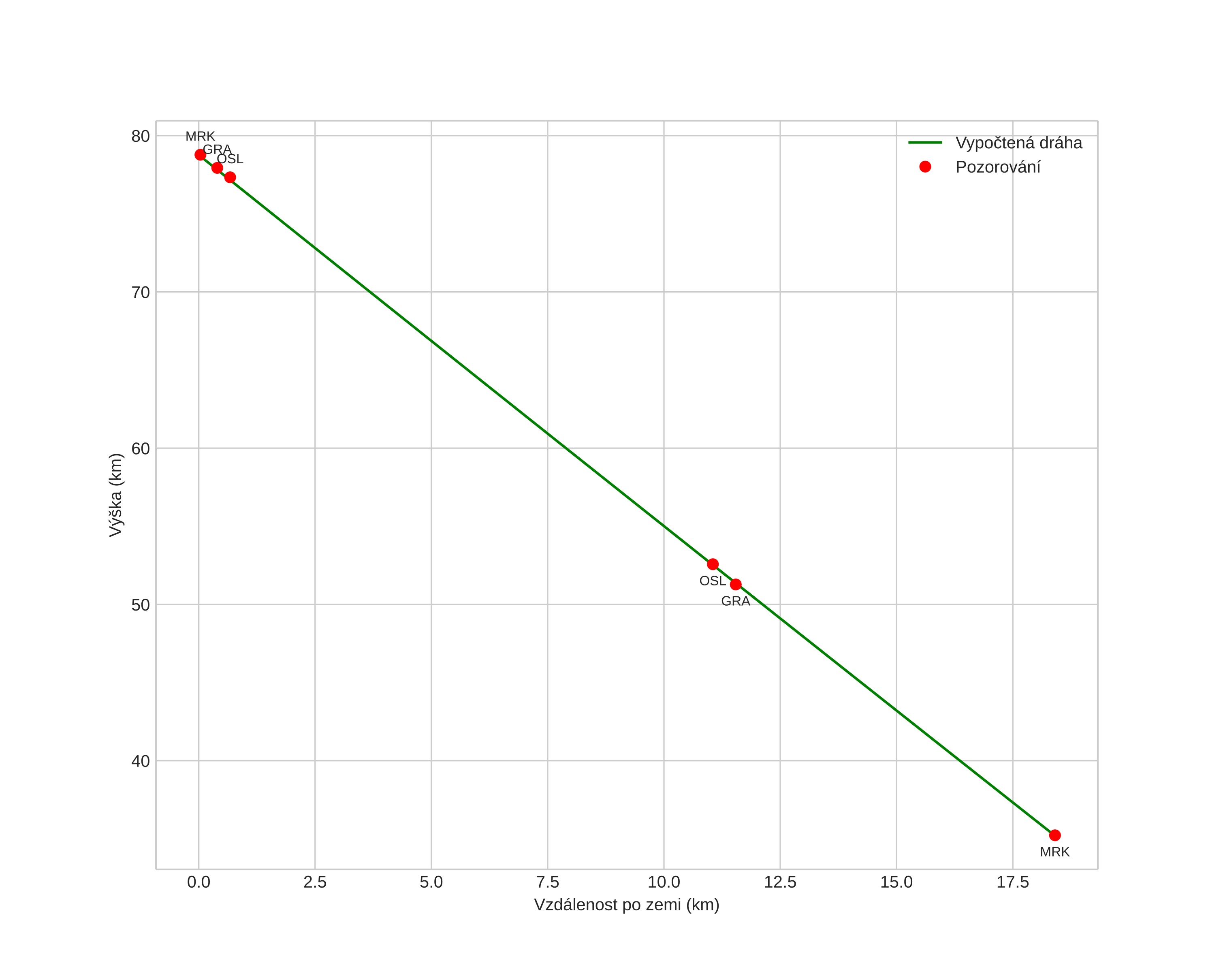
height profile
Atmosférická dráha meteoru:
Počáteční výška: 80,5 km
Konečná výška: 35,0 km
Počáteční poloha: 62,135N 8,013E
Konečná poloha: 61,982N 8,183E
Směr: 152,4°
Sklon: 67,2°
VstupnĂ­ rychlost: 20,6 km/s
Rektascenze radiantu: 18:00 (270,2°)
Deklinace radiantu: 76,8°
MeteorickĂ˝ roj: sporadickĂ˝
Elementy dráhy meteoroidu:
Vzdálenost v periheliu: 1,007 AU
Excentricita: 0,141
Sklon dráhy: 32,7°
Délka vzestupného uzlu: 159,0°
Argument perihelia: 170,0°
Střední anomálie: 7,4°
Epocha: 2019 SEP 01 23:03:49
orbit plot

NeinteraktivnĂ­ graf | InteraktivnĂ­ graf

position vs time
speed and acceleration