🇳🇴 🇬🇧 🇩🇪 🇨🇿 🇫🇮

Meteor Bismon yllä 2019-09-01 23:03:49 UTC

KML-tiedosto  |  Interaktiivinen kartta

Kartta näyttää meteorin suuntahavainnot. Vaaleammat viivat näyttävät suunnat havaintoasemilta meteorin ilmestyessä, ja tummemmat viivat näyttävät, missä se viimeksi nähtiin. Sininen nuoli näyttää meteorin näkyvän lennon.

static map
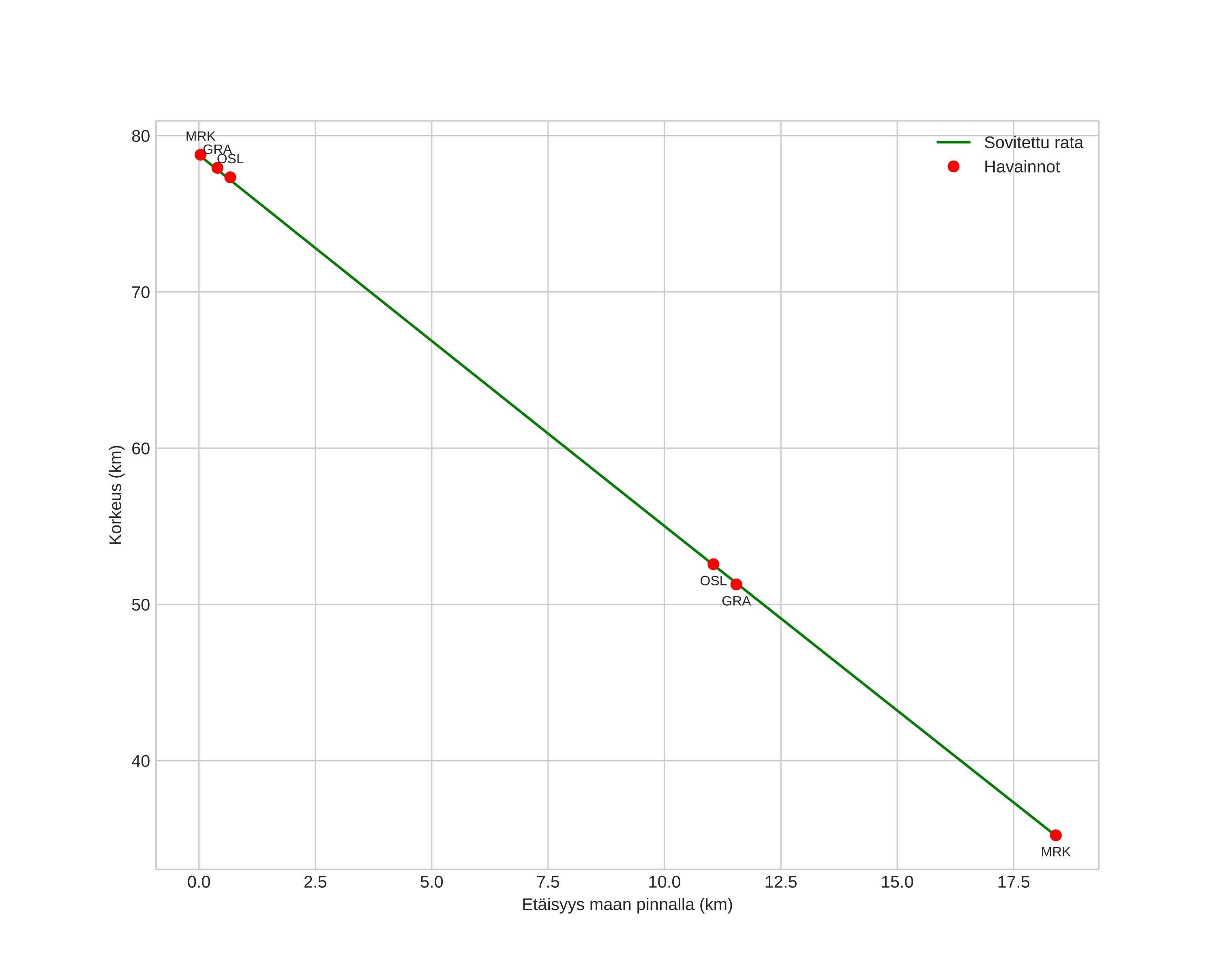
height profile
Meteorin ilmakehärata:
Alkukorkeus: 80,5 km
Loppukorkeus: 35,0 km
Alkupiste: 62,135N 8,013E
Loppupiste: 61,982N 8,183E
Suunta: 152,4°
Kallistuskulma: 67,2°
Tulonopeus: 20,6 km/s
Radiantin R,A,: 18:00 (270,2°)
Radiantin Dekl,: 76,8°
Meteoriparvi: Sporadinen
Meteoroidin rataelementit:
Perihelietäisyys: 1,007 AU
Eksentrisyys: 0,141
Inklinaatio: 32,7°
Nousevan solmun pituus: 159,0°
Perihelin argumentti: 170,0°
Keskianomalia: 7,4°
Epookki: 2019 SEP 01 23:03:49
orbit plot

Ei-interaktiivinen kuvaaja | Interaktiivinen kuvaaja

position vs time
speed and acceleration