🇳🇴 🇬🇧 🇩🇪 🇨🇿 🇫🇮

Meteor, poloha: FlĂĄ 2019-09-15 19:41:00 UTC

Soubor KML  |  InteraktivnĂ­ mapa

Mapa zobrazuje dráhy meteoru. Světlejší čáry ukazují směry od pozorovacích stanic při objevení se meteoru a tmavší čáry, kde byl naposledy viděn. Modrá šipka značí viditelnou dráhu meteoru.

static map
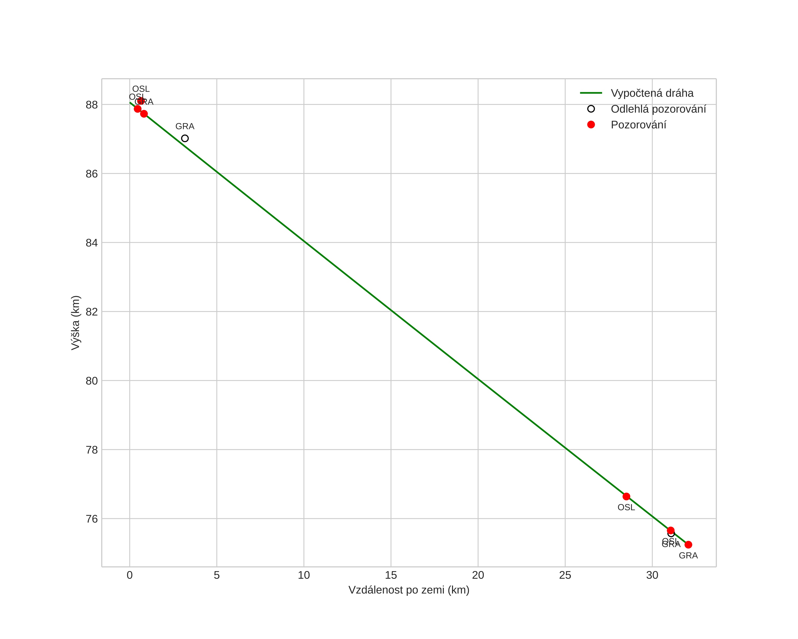
height profile
Atmosférická dráha meteoru:
Počáteční výška: 86,1 km
Konečná výška: 74,9 km
Počáteční poloha: 60,480N 9,931E
Konečná poloha: 60,554N 9,367E
Směr: 285,2°
Sklon: 19,3°
VstupnĂ­ rychlost: 31,1 km/s
Rektascenze radiantu: 00:31 (8,0°)
Deklinace radiantu: 7,1°
MeteorickĂ˝ roj: JiĹľnĂ­ Tauridy
Elementy dráhy meteoroidu:
Vzdálenost v periheliu: 0,273 AU
Excentricita: 0,831
Sklon dráhy: 4,6°
Délka vzestupného uzlu: 172,4°
Argument perihelia: 307,3°
Střední anomálie: 339,4°
Epocha: 2019 SEP 15 19:41:00
orbit plot

NeinteraktivnĂ­ graf | InteraktivnĂ­ graf

position vs time
speed and acceleration